- 易迪拓培训,专注于微波、射频、天线设计工程师的培养
一种基于DSP的新型单相PWM算法研究
脉宽调制(Pulse-Width Modulation,PWM)技术在电力电子领域的应用极其广泛。PWM模式是决定逆变器输出电压特性的根本。性能优越的PWM模式可以使逆变器具有良好的输出特性。由傅里叶分析可知,不对称波形会带来大量低次谐波、偶次谐波以及余弦项。因此PWM脉冲波形的对称性对输出特性有很大影响。
PWM的实现方法一般有两种:比较法和计算法。随着数字技术的迅速发展和计算机功能的提高,计算法以其方便灵活的特点成为PWM实现方法的主流。采用计算法实现PWM时,按照每个载波周期内调制波的取法,可以分为规则采样PWM和自然采样PWM。其中,采用规则采样法,计算简单,占用系统软件资源较少,因而应用比较广泛;但是由规则采样法计算出的PWM波形,在系统载波频率较低时,输出精度差,并且在计算时需要通过查表确定计算结果,所以并不能保证其波形的对称性,谐波含量也会因为波形的不对称而增加。
对于调制类PWM,有三种方式:同步调制,异步调制,分段同步调制三种方式。同步调制虽然可以在调制波频率变化的所有范围内,载波与调制波的相位相同, PWM波形一直保持对称,输出谐波的低次谐波可以得到消除。但是在载波频率变化范围大时,电力电子器件的开关频率变化范围大,在低频时,将给系统引入大量较低频率的谐波。异步调制的优点在于载波频率在调速过程中载波不变,高次谐波对系统的影响基本固定,可以弥补同步调制的缺点。但是异步调制无法在大部分频率点上都保证调制波与载波相位相对的固定,出现不对称波形,会给系统引入大量的低次谐波、偶次谐波和余弦项。分段同步调制可以综合以上两种方式的优点,但在波比切换时可能出现电压突变,甚至震荡。基于以上理论,本文提出一种新的PWM算法,可以在异步调制下,使PWM波形在T/2周期内始终保持关于T/4 周期的完全对称。
1 PWM算法原理
在用数字化控制技术产生PWM脉冲时,三角载波实际上是不存在的,完全由软件及硬件定时器代替,图1为三角载波的产生原理(Ttimer为定时器的值)。 PWM脉冲的产生机理为:定时器重复按照PWM周期进行计数。比较寄存器用于保持调制值,比较寄存器中的值与定时器计数器的值相比较,当两个值匹配时, PWM输出就会跳变;当两个值产生二次匹配或者一个定时器的周期结束时,就会产生第二次输出跳变。通过这种方式就会产生一个周期与比较寄存器值成比例的脉冲信号。在比较单元中重复完成计数、匹配输出的过程,产生PWM信号,如图2所示。

基于数字化控制技术产生PWM脉冲的这种特点,利用本文提出的算法,可以实现在任何频率下产生完全对称的PWM波形。其原理为:根据三角载波频率及DSP 系统时钟频率确定定时器周期,利用数学计算方法,将形成载波的定时器周期等分,均分后所得到的数作为脉宽增量单元,随时间递增。脉宽以脉宽增量为单元成比例地增加或减少。 [p]
三角载波由软件及硬件定时器形成,三角载波的频率由时钟频率及定时器的周期值决定。根据需要可以选取一个定时器周期T1,以确定调频过程中的固定载波频率。由于载波频率不变,故整个调频过程的载波比是变动的,可先设定在一个固定的输出波频率f1下的载波比为n1,对所需的输出频率f(对应的周期为T)进行处理,如式(1)所示,x为f处理后的值。图3所示为均分载波的原理图,将定时器的周期进行等分为n1/(4x)份,则每份的宽度叫可由式(2)确定:
f1/1=fx (1)
ω=4T1x/n1 (2)
式中:ω为脉宽增量的最小单元。在确定了脉宽增量的最小单元值之后,以ω为增量单元,随时间递增,依次增大或减小占空比的值。占空比的增大过程为:第一个装载占空比为ω,第二个装载占空比为2ω,第三个装载占空比为3ω,第y个装载占空比的值为yω,占空比的值以此规律依次增加。式(3)为脉宽递增时占空比值DC更新规律的数学表达式。式中K的值是为满足冲量定理所需的系数,将在后面做详细的计算和论述。


当输出脉冲达到最大宽度MAX(DC)时,a计数值也达到最大值MAX(a),已完成T/4周期的脉冲输出。此时,占空比从最大宽度依次减小,减小的规律为yω,(y-1)ω,直至ω0式(4)为脉宽递减时占空比值DC'更新规律的数学表达式。其中,DC'的初始值为MAX(DC),a'的初始值为MAX (a)。

由以上原理可以看出,PWM波形在T/2内关于T/4完全对称,图4所示为占空比更新的原理图。
由上述分析,载波频率在整个过程中是固定值,所以具备了异步调制的优点。同时,脉宽是完全由形成载波的时钟数量、期望输出波的频率因素决定,而不是由查表得到,可以克服异步调制时大多数情况下载波与调制波相位不同步的缺点。此种算法综合了同步和异步调制的优点,避免了采用分段同步调制时需要考虑调频的问题。PWM的基本依据是面积相等原理,即冲量(面积)相等不同形状的窄脉冲加到惯性环节上,其作用效果基本相同。在保证波形对称的基础上,讨论该算法对冲量相等原则的实现。以正弦调制为例,当调制波为正弦波时,根据面积相等原则,其正弦半波积分的面积等于脉冲相加之和,如式(5)所示。

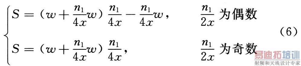
根据占空比更新原理可以确定冲量面积,如式(6)所示。

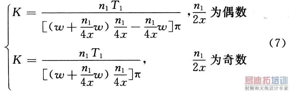
当调制深度M=1时,可得到系数K的值,如式(7)所示:

根据以上公式,可准确计算输出波形面积,K值的选取可决定输出电压的幅值。 [p]

2 实验结果
为了验证提出的PWM算法的正确性和可行性,利用TI公司的TMS320F2812进行实验;系统采用30 MHz外部晶振,通用定时器时钟的频率由系统5倍频后,再6分频得到,为25 MHz。该实验采用的载波频率为fz=1 kHz,定时器周期值T1=12 500。输出频率f1=50 Hz时,载波比n1=20。选择在定时器达到周期值时装载更新占空比的值,相当于在三角载波的波峰时装载。
实验结果见图5(UPWM为PWM脉冲幅值):图5(a)为单极性调制时采用该算法得到的输出波形,它是50 Hz正弦波调制时正半周期的输出波形;图5(b)是43 Hz正弦波调制时正半周期的输出波形;图5(c)是50 Hz单极性调制时,正弦波PWM脉冲波形的能谱分析图;图5(d)是43 Hz单极性调制时正弦波PWM脉冲波形的能谱分析图。

3 结 语
该算法是基于异步调制的优化PWM脉冲波形的一种算法,它对于提高系统输出质量有着重要的意义。应用此算法已成功地实现在1~400 Hz之内调频,输出对T/4周期完全对称的波形,有效地降低了谐波,运行效果良好。
射频工程师养成培训教程套装,助您快速成为一名优秀射频工程师...
天线设计工程师培训课程套装,资深专家授课,让天线设计不再难...
上一篇:基于FPGA的数字下变频设计与实现
下一篇:亮度智能LED控制卡系统在隧道中应用

