- 易迪拓培训,专注于微波、射频、天线设计工程师的培养
照明LED的阵列研究与仿真
LED是一种寿命长、功耗低、无辐射的节能环保型光源, 大多数专家预测21世纪将是以固体发光材料为核心的,即以LED为代表的新型光源、绿色照明的世纪,因此LED光源具有光明的前景。近年来,LED灯具产品开发的种类越来越多,设计合适的LED灯具显得尤为重要。由于单颗LED的功率很小,作为照明来使用,要求在照明区域内具有一定的均匀光通量和照度,所以需要采用LED的阵列形式,加大其发光亮度和发光面积,改善光照的均匀性。本文对LED阵列进行仿真,并根据仿真结果进行分析,得出各种阵列的特点,分析适合此阵列的灯具,为LED灯具设计提供精确的参考依据。
1. LED及其照明应用
LED(Lighting Emitting Diode)即发光二极管,它是利用固体半导体芯片作为发光材料,在半导体中通过载流子发生复合放出过剩的能量而引起光子发射,直接发出红、黄、蓝、绿、青、橙、紫、白色的光。因其是寿命长、功耗低、无辐射的节能环保型光源,所以近年来,LED光源特别是白光LED引起人们的极大关注。
LED在照明领域的应用主要包括夜景照明、汽车照明、交通灯、专用普通照明、特种照明和安全照明。随着LED发光效率的不断提高,LED照明会慢慢代替白炽灯照明,走入千家万户。
2. LED阵列照度计算及其分布研究
2.1 LED阵列照度的计算
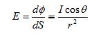
照度(Luminosity)指物体被照亮的程度,采用单位面积所接受的光通量来表示,表示单位为勒[克斯](Lux) ,即lm/m2。 1 勒[克斯]等于 1 流[明]( lm)的光通量均匀分布于 1 m2 面积上的光照度。LED阵列的照度是多个单个LED照度的线性叠加。因此只分析单个LED照度。
通常LED所照射的目标距离比LED本身大的多,在这种情况下将LED发光管简化为一个有一定空间光强分布的点光源。点光源的特点是能以4 立体角向周围空间发出相同发光强度的光辐射。假设面元dS接受LED点光源S的光照,设点光源S至面元dS的距离为r,并且点光源发出的元光束的光轴与面元的法线N之间的夹角为 ,则面元上的照度为:

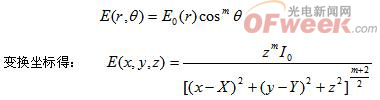
LED的光强分布不是一个理想的余弦分布,该分布可以表示为: ![]()
当LED照射到与其光轴方向垂直的平面时,在该平面上的光照度分布为:
以上公式为下面LED阵列照度仿真的依据公式。
2.2 LED阵列研究
2.2.1 LED阵列中LED间距的分析
由于LED是一种非相干光源,因此两个LED对平面上某一区域的光照度为其单个的叠加(多个LED同理叠加),则有(式中d为两个LED之间的距离)
d增加到0.0218时,原点附近的区域的光照度不至下降很多,此距离比较合适。通过仿真可以验证计算结果,如图1所示,当d=0.0218m时,原点附近照度较均匀。
2.2.2 LED阵列分布研究
LED阵列分布主要研究的是LED阵列分布方式,根据阵列分布方式不同,可以分为面排列方式和立体排列方式。 [p]
面排列方式又分为平面排列与曲面排列。平面排列配光就是将多颗LED以均匀布置,轴线方向的夹角为零,安装在平面的基板上,形成具有一定面积的面发光光源。其特点是:光照面积小、光输出集中、发光均匀、光照度高。根据使用的功能要求,具体所形成的发光面形状包含矩形、圆形、椭圆等;曲面排列主要包括柱面排列、球面排列、不规则排列等。
立体排列方式主要包括球体和柱体。
本文鉴于篇幅,只分析平面排列中的矩形与曲面排列中的内半圆柱面排列,立体排列其实是曲面排列的特例(不只分析底面光照,而是各个面的光照),不再作具体分析。
3. LED阵列仿真及比较分析
LED阵列用Matlab软件进行仿真。
3.1矩形平面的仿真结果及分析
图2为7×17矩形阵列仿真结果。本次仿真取阵列距离照射面为6米(根据具体灯具应变换仿真距离)。

从图2的仿真结果,我们可以看出,7×17矩形阵列的中心最大照度约为40Lux,在过最大照度的一半即20Lux的区域为距中心约0.75m的范围内。通过以上数据可知,矩形阵列的照射范围比较集中,此类阵列分布的灯具适用于照射面较小且比较集中的照射领域。
3.2内半圆柱表面的仿真结果及分析
图3为7×17内半圆柱阵列仿真结果。同上,本次仿真取阵列距离照射面为6米。
从图3的仿真结果,我们可以看出,7×17内半圆柱阵列的中心最大照度约为3.3Lux,在过最大照度的一半即1.65Lux的区域x轴为距中心约7m的范围内,y轴为距中心0.8m的范围内。通过以上数据可知,内半圆柱阵列的照射范围分布成长条状,此类阵列分布的灯具适用于一方向上照射区域较大且与其垂直方向上照射区域较小的照射领域。

3.3阵列分布在平面与曲面上的比较
对于以上分析的两种阵列,所用LED及数目均相同,但是根据仿真结果我们可以看出,在照度大小、照射区域等方面存在很大的区别。代表平面的矩形分布的阵列中心照度比较大,达到了40Lux,但是其照射区域比较小,20Lux内仅有约0.75m的范围内,而代表曲面的内半圆柱表面分布的阵列中心照度比较小,仅为3.3Lux,但照射区域比较大,最大照度值一半的区域在一方向上达到了 7m。
比较仿真结果可以得出,平面分布阵列的光照面积小、光输出集中、发光均匀、光照度高,可以应用于模块照明、照相制版、化妆镜灯、聚光(投光)灯等;曲面分布阵列照射面积较大,具有发散的照明效果,可获得特殊的装饰照明效果,适用于广场灯、路灯等。
4. 结语
总之,针对LED照明灯具中LED阵列的照度计算和分布问题,文章着重就LED阵列在具体设计、分布上作了仿真及较为详细的分析,对于设计出更完美的LED灯具具有一定的参考价值。可以相信,随着LED技术的不断发展以及LED照明灯具设计制造的不断完善,更新更好的技术方案及产品将会层出不穷。
射频工程师养成培训教程套装,助您快速成为一名优秀射频工程师...
天线设计工程师培训课程套装,资深专家授课,让天线设计不再难...
上一篇:一种基于CPLD的交通灯控制系统设计
下一篇:基于单片机和LED的汽车照明系统设计

