- 易迪拓培训,专注于微波、射频、天线设计工程师的培养
数字PID控制算法在温控系统中的应用
温度控制对于大型工业和日常生活等领域都具有广阔的应用前景。很多应用领域,需要精度较高的恒温控制,例如,根据外界变化,随时调节相应的LED亮度以达到所需色温值,可以实现更好的照明和装饰效果。在连续控制系统中,对象为一阶和二阶惯性环节或同时带有滞后时间不大的滞后环节时,PID控制是一种较好的控制方法。本文主要采用数字PID控制,通过单片机PID控制算法的程序实现。
1 数字式定时温控系统
本文研制的数字式定时温控系统主要完成数据采集,温度、定时的显示,温度控制,温度定时的设定以及报警等功能。核心控制器由单片机完成,采用数字PID控制算法进行过程控制。加热器件选用热惯性小,温度控制精度高,速度快的电热膜,由单片机输出通断率控制信号进行控制。硬件框图如图1所示。

2 PWM功能的实现
AT89S52内部有3个16位定时器:TO,T1,T2。用定时器T2实现PWM(脉宽调制)方式来对加热器件进行温度控制。设置T2CON中C/#T2=O(定时方式),CP/#RL2=1且EXEN2=O时,T2是16位定时器。当计数溢出时,会设置T2CON中的TF2位,进而触发相关中断。用单片机系统实现,必须首先完成两个任务:首先是产生基本的PWM周期信号;其次是脉宽的调整,即单片机模拟PWM信号的输出,并且调整占空比。具体的设计原理:若想让它的负脉冲为2 ms,则正脉冲为20-2=18 ms,所以开始时在控制口发送低电平,然后设置定时器在2 ms后发生中断,中断发生后,在中断程序里将控制口改为高电平,并将中断时间改为18 ms,再过18 ms进入下一次定时中断,再将控制口改为低电平,并将定时器初值改为2 ms,等待下次中断到来,如此往复实现PWM信号输出。用修改定时器中断初值的方法巧妙形成了脉冲信号,调整时间段的宽度便可实现脉宽调整。实现其软件流程如图2所示。 [p]
设n为定时器T2的初值,fi为单片机的系统时钟,本系统中fi=11.059 2 MHz定时方式下TL2寄存器每个机器周期(即12个晶振周期)增加1。这时PWM脉冲信号的“低”电平宽度为:
![]()
通过改变定时器T2初值n,即可改变“低”电平的宽度tPWM-L,从而控制加热元件的加热时间,达到对温度进行控制的目的。当n=65 536时,P2.7引脚输出电平一直保持为“高”,加热元件一直处于断电状态;n=0时,P2.7引脚输出电平一直保持为“低”,加热元件一直处于通电加热状态。单片机根据从DSl8B20读取的温度值来确定n值,即确定加热元件的加热时间。
3 恒温控制算法
PID基本算法是这样的:控制器的输出与控制器的输入(误差)成正比,与输入的积分成正比,与输入的微分成正比,为三个分量之和,其连续表达为:
![]()
式中:TD为微分时间;e为测量值与给定值之间的偏差;Tl为积分时间;Kp为调节器的放大系数。
对式(2)两边进行拉氏变换,可以得到PID调节器的传递函数为:
![]()
采用不同的方法对式(3)的D(s)离散化,就可以得到数字PID控制器的不同算法。用矩形法数值积分代替式(3)中的积分项,对导数用后向差分逼近,得到:

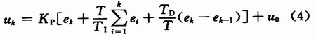
式中:uo是由式(2)中的不定积分变为式(4)中的定积分所具有的积分常数;T为采样周期。式(4)就是数字PID控制器位置式算法的表达式,其输出控制量uk对应于系统的输出(位置)是全量输出。
由式(4)可推算出控制量的增量为:

式(5)就是数字PID控制器增量式算法的表达式,其输出为系统的△uk。
采用增量式算法,系统中需增加一个积分装置,但在本恒温系统中,控制对象本身就具有积分作用,因此无需加积分装置。
与位置式算法相比,在增量式算法中,计算误差对控制量影响小。这是因为位置式算法控制器输出的是全量,每次输出均与过去的所有状态有关。计算机的位数是有限的,当累加结果产生上溢出时,丢失一部分控制量;当采样周期短,误差很小时,计算机认为是零,不进行累加,这两种情况均会产生累加误差。而增量式算法在计算△uk时只用到最近的三次采样值,以前的状态不影响本次输出。
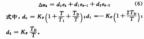
为简化计算机的运算,把式(5)改为下面的形式:

可以根据式(6)编写程序,由计算机实现。Kp,TD,TI,T由参数整定确定。对于简单系统,可以采用理论计算的方法确定这些参数,但是稍微复杂一些的系统,采用理论计算的方法就困难了。因此几乎都是用工程的方法对参数进行整定。调节器参数的整定是一项繁琐而又费时的工作,因此,近年来国内外在数字PID调节器参数的工程整定方面做了大量的研究工作,归一参数的整定法是一种简易的整定法。
根据大量实际经验的总结,人为设定约束条件,以减少独立变量的个数,例如取:

式中:Ts是纯比例控制式的临界振荡周期。
将式(7)代入式(6)中,可得数字PID控制器的差分方程为:
![]()
对比式(6)和式(8)可知,对4个参数的整定简化成了对一个参数Kp的整定,使问题明显地简化了。
采样周期T的取值,从数字PID控制器对连续PID控制器的模拟精度考虑,采样周期越小越好,但采样周期小,控制器占用计算机的时间就长,增加了系统的成本。因此采样周期的选择应综合考虑各方面因素,选取最优值。
在恒温控制系统中,控制输出为定时器T2初值n(O≤n≤65 536),误差为温度设定值Tset与DSl8B20检测值之差Tread。因为电阻丝的功率是有限的,初始温度低于温度设定值Tset较大时,可以不用数字PID控制。可以根据电阻丝的功率设定一个误差值emax,当e>emax时,一直加热,输出n=O;当e<0时,停止加热,输出为n=65 536。只有当O≤e≤emax时,才用数字PID控制。
为保证温度控制的实时性,根据文献,温度控制程序采用定时中断方式,定时长为采样周期T,且中断优先级设得比其他中断高,用增量式算法其程序流程图如图3所示。 [p]

4 恒温控制结果
根据温度控制精度和采样时间的要求,本设计对DSl8B20的温度转换结果选择12位,采样周期定为T=O.408 s。当加热元件功率选用100 W,温度设定值Tset=30℃时,用归一参数法整定数字PID控制器的参数,当参数Kp=150时,得到数字PID控制曲线如图4所示。

5 结语
在介绍利用AT89S52单片机实现PWM功能的基础上,讨论了数字PID控制算法对恒温控制的应用。从控制结果来看,这种控制方法可以得到较理想的控制效果,温度波动均可控制在±O.125℃之内。该技术已应用于定时控温发酵器、保健垫等产品中,运行良好,获得了良好的社会效益和经济效益。现正在尝试用于无影照明系统的色温控制,实现更好的无影照明效果。
射频工程师养成培训教程套装,助您快速成为一名优秀射频工程师...

