- 易迪拓培训,专注于微波、射频、天线设计工程师的培养
一种电流模式PFM型LED驱动IC的设计
LED是继白炽灯、荧光灯、节能灯之后的人类第四次照明方式的*。它具有色彩还原好、响应速度快、节能、安全、环保、寿命长等优点,因而被广泛应用于日光灯、室内照明与装饰、路灯、舞台灯、显示屏、背光源、指示灯等。随着LED发光效率的不断提升,LED在应用上呈现多层次的变化,现已广泛用于汽车电子、移动设备、LCD背光及通用照明等领域。
伴随着LED的广泛应用,LED驱动IC的需求也迅猛增长,LED驱动IC主要用于为LED提供高效和持久的驱动。它除了为LED提供简单的控制与驱动外,一般还具有智能管理功能,从而实现高性能、高效率和各种管理及保护功能。驱动IC的需求和LED的应用密不可分,LED的应用和技术发展,也推动了驱动IC的发展。反过来,驱动技术又是提升LED照明应用水平的关键所在。因此,如何设计出效率更高,功能更强,结构更优的LED驱动IC,将是集成电路设计的新一轮挑战。
1 芯片结构及其工作原理
基于开关电源的市场需要,本文设计了一款LED照明驱动芯片,图1所示是基于0.5μm CMOS标准工艺设计出的一种不随温度、电源电压以及工艺变化的高电源抑制比的基准电压源结构。该芯片采用脉频调制方式,通过设计电阻-电容网络结构来实现电路的固定关断时间功能,这种电路结构避免了采用斜坡补偿技术,在实现电路的PFM调制的同时也简化了电路结构,提高了芯片效率。该芯片内部包括振荡器、PFM控制电路、基准电压源、偏置电路、RS触发器、过压、欠压保护电路及驱动电路等核心模块。

图1 芯片电路结构
工作时,该芯片通过一个功率MOSFET和一采样电阻来将负载变化情况反馈到芯片内部。反馈信号先经过低通滤波器,把高频开关噪音滤掉,再以电流形式输入到Current COMP模块进行调节,以产生控制R-S触发器R端的信号,然后和Oscillator PFM Regulator模块产生的S端信号共同控制驱动电路,最后驱动功率MOFFET来实现电路的PFM调节。除此之外,Error AMP模块、AMP模块及Voltage COMP三模块则构成过流保护电路,当流过外部电路的电流过大时,通过外部电阻的电流检测,并使反馈电压与恒定基准电压作比较,再将两者差值比较放大,以产生控制RS锁存器CtR端的信号,并强制关断功率管。这种前馈保护模式可有效降低电流过大时烧毁功率管和LED灯的风险,可对电路起到可靠的保护作用。而Low Voltage Lockout保护模块可在输入电压低于正常工作电压2.5V情况下强制关断芯片,从而防止芯片在低电压下工作,提高电源的利用效率。
2 芯片主要电路模块设计
2.1 自偏置电路
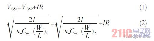
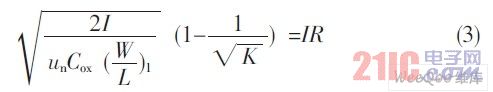
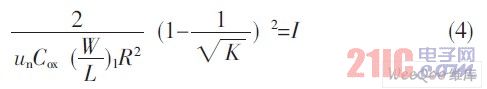
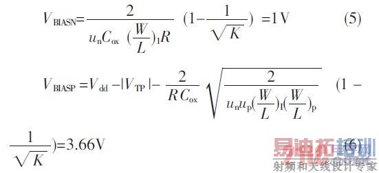
图2所示电路为该IC的自偏置电路,芯片自行启动将提供两个偏置,分别为N管偏置和P管偏置,从而为各个模块提供偏置电压。

图2 偏置电路结构
[p]
由于M1和M2栅极的电位相同,故有:

由于(W/L) 2=K (W/L) 1, 则:

因此可得到:

从而得出N管偏置电压和P管偏置电压为:

同时,该模块还设计有欠压保护电路,利用R网络结构,并采用上拉电阻钳位,可使电压在低于2.5V情况下强制关断芯片,从而提高电源的利用效率。
2.2 高电源抑制比基准电压源
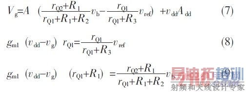
基于0.5μm CMOS标准工艺设计一种不随温度、电源电压以及工艺变化的高电源抑制比基准电压源的电路结构如图3所示。在室温下,该基准源具有零温度系数,且在-40℃~120℃范围内电压变化很小,其温度系数可达3ppm/℃数量级。

图3 基准电路结构
[p]
根据基准电压源的小信号模型来分析其电源抑制PSR,可得:

同时,该模块还设计有欠压保护电路,利用R网络结构,并采用上拉电阻钳位,可使电压在低于2.5V情况下强制关断芯片,从而提高电源的利用效率。
2.2 高电源抑制比基准电压源
基于0.5μm CMOS标准工艺设计一种不随温度、电源电压以及工艺变化的高电源抑制比基准电压源的电路结构如图3所示。在室温下,该基准源具有零温度系数,且在-40℃~120℃范围内电压变化很小,其温度系数可达3ppm/℃数量级。

图3 基准电路结构
根据基准电压源的小信号模型来分析其电源抑制PSR,可得:

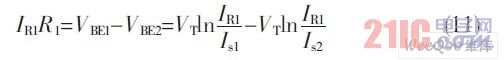
由于Is与发射极面积成正比,所以有:

由此便可得到输出点的电压Vout:

通过对式(10) 的分析可以发现: 基准电压源的PSR同运算放大器的开环增益和电源抑制PSR有关。因此,若将运算放大器的开环增益A增大,其基准电压源的电源抑制PSR就能够得到提高; 而如果运放Add接近于1,那么,基准电压源的PSR将得到极大提高。本文采用高开环增益的运算放大器来使Add近似等于1,以得到很高的PSR。
运放的输入可认为虚短,即V+=V-,又因R1=R2,所以,流过Q1和Q2的电流相等,于是有:

由于Is与发射极面积成正比,所以有:

由此便可得到输出点的电压Vout:

2.3 RS触发器
图4所示是RS触发器的电路结构,通过该触发器可提高芯片的抗干扰能力,以保证在一个周期内只有一个工作脉冲到达输出级,从而保证在恶劣的噪声环境下,电路也不会出现误动作。表1所列是该RS触发器的功能。

图4 RS触发器电路结构
表1 RS触发器功能

2.4 过流保护模块
图5所示是本系统中的过流保护电路,该电路由Error AMP模块、AMP模块及Voltage COMP等三个模块构成。其中,AMP模块起到对Vcs电压十倍放大的作用,放大后的Vcs电压与Error AMP模块的输出电压相比较,输出电压可控制RS触发器的Ctr端。将电路接成boost结构,当反馈端电流过大使VFB高于1V时,Error AMP模块输出为0,而VoltageCOMP模块输出为1,即RS触发器Ctr端置1,于是RS触发器输出为0,以强制关断芯片。这种保护模式有效地降低了电流过大时烧毁功率管和LED灯的风险,可对电路起到可靠的保护作用。

图5 过流保护电路结构 [p]
2.5 脉频调制控制电路
通过设计电阻-电容网络结构可实现电路的固定关断时间功能,同时,通过芯片外部电路中电阻-电容的串并联组合,则可方便地调节固定关断时间的长短,避免采用斜坡补偿技术,并可在实现电路的PFM调制的同时,简化电路结构,提高芯片效率。
2.6 电流检测比较器模块
该模块采用采样电阻与开关功率管串联,并通过采样电阻上的压降来反映支路上的电流,这样可以将得到的精确采样值恒定的基准输出电压进行比较放大,这种精确控制模式大大提高了芯片精度。
3 版图设计及仿真结果
3.1 版图设计
图6给出了芯片的版图,其中最中间部分的基准电压源用以减小应力影响。最左边为偏置电路,右上方为Oscillator PFM Regulator模块,该模块正下方为采样电路; 芯片最下方为RS触发器和DRV电路版图,正上方为修条电阻。

图6 总体电路版图
3.2 仿真结果
本文提出的电路可采用candence进行电路仿真,图7所示分别为芯片采样检测电压、DRV输出电压、负载电流以及上电电压仿真波形。从仿真结果可以看出: 当反馈电压CS达到250mV时,通过峰值检测可实现芯片输出端(DRV) 的关断功能,然后由PFM Regulator单元电路控制电路的开启,以实现固定关断时间功能,固定关断时间为520ns; LED灯上的纹波电流幅度在4%以内;同时上电较快。通过电路仿真验证,该芯片设计合理,性能良好。

图7 总体电路仿真波形曲线
4 结束语
本文结合LED的驱动特性要求,提出了一种电流检测型LED驱动开关电源电路的设计方法。
该驱动电路采用PFM控制方式,从而可避免采用谐波补偿技术,提高芯片效率,简化电路结构。
同时,电路通过高电源抑制比、低温度系数基准电压源设计和自启动电路和欠压保护电路设计,从而实现了电路高效、安全、可靠等特性。该驱动电路可广泛用于各种LED产品的照明驱动。
射频工程师养成培训教程套装,助您快速成为一名优秀射频工程师...

