- 易迪拓培训,专注于微波、射频、天线设计工程师的培养
基于快速控制模型的混合型电力滤波器设计
目前,电力滤波器多采用数字化控制器实现,需要工程师有较高的软件编程能力。这样,滤波器设计周期的绝大部分时间将用于程序的编写以及优化上。考虑到数学模型的建立、算法的设计、离线调试,整个开发时间将非常长,成本将相应增加。
快速控制模型(Rapid Control Prototyping,RCP)的设计降低了设计周期,利用Simulink的图形化编程方法,不再需要进行复杂的程序编写:对于硬件工程师而言,改变模型参数就可以实现现场调试;对于理论研究人员而言,只需要考虑算法的快速性和实用性。
小波变换是一种分析非稳态电压和电流波形的快速而有效的方法。同FFT一样,小波变换将信号分解成频率分量。但是,离散小波变换(DWT)具有可变的频率分辨率,可以有效地解决负载突变所引起的电网电压闪变,而且能够实时跟踪问谐波。这是用来分析瞬态信号的一个有用特性。另外,小波分析不需要在整个频域范围内同时进行,将计算量集中在某一频率范围,减小了计算量,加快了分析速度。
本文基于Simulink软件对混合型有源电力滤波器(Hvbrid Active Power Filter,HAPF)进行建模,利用Wavelet工具箱进行谐波分析并仿真,由MATLAB/Simulink/Embedded Target for TI C2000生成DSP代码,最终在TMS320F2812进行硬件实现。
1 快速控制模型(RCP)
RCP由两部分组成:计算机辅助设计软件Simulink和带有实时操作系统的专有硬件TMS320F2812,如图1所示。这种图形化编程方法取代了传统程序的编写,只要求工程师将注意力集中在功能和性能的优化上。本文提出的完整系统在仿真环境下进行。

Embedded Target for TI C2000连接软件和硬件,Simulink工具箱提供本文所需的各种模型,为通用DSP上设计、仿真和实现嵌入式控制系统提供了集成平台。图2为设计流程。

利用Embedded Target,能够通过CCS(Cede Composer Studio)产生高效的DSP代码,通过主机与DSP的接口将二者连接起来,就可以对DSP进行在线控制与优化。对于需要进行循环计算的复杂算法,RCP的快速执行功能将体现出极大的优越性。鉴于小波变换分析电力系统谐波的前景,以及建模的便利,本滤波器的有源部分控制算法利用小波变换来分析电网谐波。
2 小波分析
2.1 多分辨分解法
小波分析的实现通常采用信号的多分辨分解法(Multiresolution Signl Decomposition,MSD),高通滤波器h和低通滤波器g分别通过小波函数来构成,如图3所示。

图3中的尺度1包含了从奈奎斯特频率到1/4采样频率的信息,尺度2包含了从1/4到1/8采样频率的信息,其他尺度包含的信息以此类推。小波的分解可以在任意尺度上终止,最后的平滑输出包含了所有剩余尺度的信息。但是,信号的分解层数不是任意的。长度为N的信号最多只能分解成log2N层。
2.2 小波变换
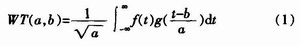
连续信号f(t)的小波变换定义为:
![]()
其中,
为母小波,a为伸缩因子,b为平移因子。
在时域中是拉伸还是收缩取决于a。
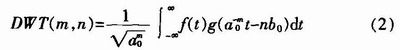
在离散小波变换中,给出了一些小波系数m和n,这些系数取决于伸缩因子和平移因子的次数。则离散小波系数可表示为:
[p]
虽然这一变换是时间上连续的,但小波形式是离散的。离散小波逆变换如下:

式(3):K=(A+B)/2,A和B分别是a和b的最大值(框架值)。
针对不同的问题,母小波的选择是不同的,并且母小波的选取对于得到的结构有较大影响。正交小波确保信号可以从其变换系数重构,具有对称滤波器系数的小波能够产生线性相移,由Daubechies推导出的小波组覆盖了正交小波领域。
2.3 控制算法的模型实现
Simulink工具箱提供了丰富的数学模型,从中选取C28xADC、C28x PWM、F2812 eZdsp(若无该模块则无法生成DSP代码)、DWT和IDWT等模块,组成如图4所示的模型。

其中,在Wavelet子系统中集成了Environment ControRer、Buffer、DWT和IDWT等模块对采样量化后的信号进行谐波分析,并产生补偿电压指令信号,继而通过PWM输出信号控制IGBT的关断,达到减少谐波和无功补偿的目的。仿真过程中,根据需要实时调节C28x PWM的占空比,以产生合适的输出波形。
3 混合型有源电力滤波器建模
3.1 混合型有源电力滤波器
对高压大容量谐波目前主要是采用LC谐振型无源滤波器(Passive Power Filter,PPF),这些滤波器兼有无功补偿功能。尽管PPF具有初期投资小,运行效率高等优点,但PPF的滤波效果受电力系统阻抗的影响较大,且只能消除特定次数的谐波,对于谐波次数经常变化的负载滤波效果并不好。
还可能与系统发生谐振,使LC滤波器过载甚至烧毁。有源电力滤波器(Acfiire Power Filter,APF)相当于可变电阻,对基波阻抗为0,对谐波却呈现高阻态,APF虽能克服PPF存在的缺陷,但其安装容量受开关器件容量的限制。
将无源滤波器和有源滤波器相结合构成混合型有源电力滤波器(HAPF),有源电力滤波器仅用来改善无源滤波器的滤波效果和抑制可能发生的谐振。这种方式中,有源电力滤波器不承受交流电源的基波电压,因此装置容量极大减少,通常只需要非线性负荷总容量的1/10左右,从而使有源电力滤波器能应用于大功率场合。
大型的供、配电站通常希望在滤除谐波的同时进行无功功率补偿,必然增加逆变器实现的技术难度和成本,从而限制了有源电力滤波器在大型变电站的应用。通过将逆变器输出电压经变压器耦合到无源滤波器的滤波支路的电感和电容两端,使有源电力滤波器既不承受基波电压也不承受基波电流,从而极大地减小了有源电力滤波器的容量。
3.2 控制系统结构
以往有源电力滤波器的控制部分由工控机和单片机构成,工控机实现谐波检测、分析以及控制信号计算等,单片机则产生控制信号。限于单片机的处理速度,本文将信号采样、谐波分析以及PWM脉宽信号的产生均集成在TMS320F2812中完成,充分发挥32位DSP的计算效率。其控制电路结构如图5所示。

[p]
选取A相电压过零点为初始值,将初始时刻后三相电流is用霍尔传感器测量后,将测量值送入DSP,经过高速A/D转换后得到采样值,然后将采样值进行离散小波变换,得到三相电流的基波值is1,分别将三相电流的采样值减去基波值,即得到有源电力滤波器需要补偿的三相谐波电流值ish,就可得到有源电力滤波器输出补偿电压的指令信号U=KIsh。再通过DSP的PWM模块控制逆变器,就能得到期望的电压波形。
3.3 混合型有源电力滤波器仿真模型
强大的Simulink工具箱包含了本文涉及的C2000 DSP系列的所有算法和外围设备,这将无疑为控制器的仿真设计提供便利的条件。混合型有源电力滤波器模型如图6所示。

三相交流电压源35 kV,50 Hz,500 kVA模拟电网,通过变压器降压为400V,50Hz。有源滤波器的逆变器输出电压经变压器耦合到无源滤波器的滤波支路的电感和电容两端,以减小有源电力滤波器的容量,如图7所示。B1、B2分别为测量仪器,非线性负载由非对称整流器组成。

4 实验结果
直流总线电容:
![]()
其中,电容额定电压Vn=Vc/1.83,配电线路视在功率Sn=
为电容器在f=50 Hz的功率。
最小滤波电容:
![]()
式中,
为n次谐波的电流标么值,
为电压基波标么值。 [p]
再根据公式(6)求得滤波电感:
![]()
ωs为某一确定次角频率。由上述公式,得出本仿真系统参数值如表1所示。

电流补偿前后波形如图8所示。从波形图可以得出,经过无源滤波和补偿电流的作用,得到了较为精确的三相正弦电流波形。

经过小波分析工具箱对谐波的计算、分析,通过混合有源电力滤波器后,畸变系数由22.50%降低到1.88%,符合IEEE-519-1992标准,如图9所示。

5 结论
与传统电力滤波器比较,快速控制模型设计周期短,投资成本低,滤波效果明显。运行结果表明,利用DSP作为控制器建立的快速模型,能够精确的跟踪负载突变造成的电网电压闪变,从而进行谐波补偿。该设备可靠性高,抗干扰能力强,具有很好的经济效益,适合工程应用推广。
射频工程师养成培训教程套装,助您快速成为一名优秀射频工程师...

