- 易迪拓培训,专注于微波、射频、天线设计工程师的培养
推理控制的CVCF交流电源
摘要:介绍一种推理控制的交流稳频稳压电源的结构及工作原理,对该电源的抗干扰性能作了较详细的分析。由于采用了推理控制技术,使得该电源的抗干扰性能明显优于一般稳频稳压电源。
关键词:稳压稳频推理控制干扰抑制
CVCF Power Supply by Inferential Control
Abstract: This paper introduces the construction and the principle of CVCF power supply which is controlled by inferential controller,analyzes the properties of eliminating disturbance in the power supply.The power supply is good than the common CVCF for eliminating disurbance.
Keywords:CVCF, Inferential control, Eliminating disturbance
中图法分类号:TN86文献标识码:A文章编号:02192713(2000)12-618-03
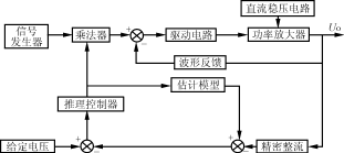
1推理控制的CVCF电源的硬件构成
推理控制的CVCF电源系统构成如图1所示,控制电路见图2。
系统采用8031作为CPU,外扩8K的EPROM2764,用于存放监控程序、推理控制、键控及显示程序。扩展一片DAC0832,以便输出阶梯正弦波,其片选信号CS接74LS138的Y0口,选通地址为#1FFFH。DAC0832按单缓冲工作方式,使输入寄存器处于锁存状态,ILE接+5V,WR1接CPU的写信号WR,DAC寄存器处于不锁存状态,所以将WR2和XFER直接接地,DAC0832接成单极性输出,参考电压为+5V,输出0~5V的电压。
扩展一片ADC0809,实现对整流后的直流电压进行采样的功能,8031的WR和74LS138的Y1口经一个或非门接ADC0809的STAR和ALE端,来控制ADC0809的启动和地址锁存。8031的RD和74LS138的1口经或非门接ADC0809的OE端,控制信号的输出。ADC0809的CLK由8031的ALE上信号经过2分频以后提供,EOC经反向器作8031的INT1中断请求输入线,要求CPU从P0上读取A/D转换后的数字量。ADC0809的IN0和采样保持器LF198的输出端相连,故IN0上输入的0~15V范围的模拟电压经A/D转换后,可由8031通过程序从P0口输入到内部RAM单元。
图1推理控制的CVCF系统原理图
图2推理控制的CVCF电源控制电路图
扩展一片8279,作为扩展的I/O口,接8个LED,以完成显示目标频率、目标电压和反馈电压的功能。8个LED接成共阳极。8279和8031的连接无特殊要求,除数据线P0口、WR、RD可直接连接外,CS由74LS138的Y2口进行片选。时钟由ALE提供,A0接8031的P2.0口,中断请求IRQ经反向器与8031的INT0相连。
8279同时扩展键盘的接口,实现运行、停止、清零、复位功能键的控制。规定扫描线(SL0-SL1)为列线,在此以连接74LS138的输出T0和T1为列线,实现2*8的键盘功能。回复线(RL0-RL7)为行线。
由8031的P2.5、P2.6、P2.7口经74LS138进行地址译码,各扩展芯片的地址由此确定。
2系统软件设计
应用软件分为四大部分:振荡部分、采样部分、调幅部分、通信部分。为了防止严重干扰时“飞”程序,在每个程序之间安放软陷阱,即在各个子程序之间放入几条NOP指令。这样,发现异常时,可强制从头执行。
在软件设计中采用模块化子程序结构,其主程序和推理控制子程序的流程结构见图3。
(1)振荡器子程序
该程序模块要求得到一个频率可调的高频率稳定度的阶梯正弦波。要求频率可调范围为45Hz~65Hz,精度要求为0.1Hz。
在振荡程序中,采用8031的T1定时方法,因为T1工作方式不占用CPU时间。在整个单片机运行期间,振荡部分的定时是自始至终的,故采用T1定时方式2(可以自动重新装入的8位定时器/计数器)进行定时,在不占用CPU的时间里,CPU可以处理其它程序和任务。

图3程序流程图 [p]
将一个正弦波周期分为正半周和负半周两部分,半波时间为1/(2f),将这半波时间分成90份,则定时时间为t=1/(180f),代入T=28-t·fo/12的T1初值计算公式(式中fo为晶振频率),得出定时时间常数,可将45Hz~65Hz的定时时间都算出来并列成表格(如表1所示),设置一个查表程序,在输出不同频率时从表上调取不同的T值。
表1定时时间常数表
| 频率 | 时间常数 | 频率 | 时间常数 |
|---|---|---|---|
| 45Hz | T=C2H | 56Hz | T=CEH |
| 46Hz | T=C3H | 57Hz | T=CFH |
| 47Hz | T=C5H | 58Hz | T=D0H |
| 48Hz | T=C6H | 59Hz | T=D0H |
| 49Hz | T=C7H | 60Hz | T=D1H |
| 50Hz | T=C8H | 61Hz | T=D2H |
| 51Hz | T=C9H | 62Hz | T=D3H |
| 52Hz | T=CAH | 63Hz | T=D3H |
| 53Hz | T=CBH | 64Hz | T=D4H |
| 54Hz | T=CCH | 65Hz | T=D5H |
| 55Hz | T=CDH |
表2正弦波数据表
| θ | U | DEC | HEX | θ | U | DEC | HEX |
|---|---|---|---|---|---|---|---|
| 0 | 0.078 | 0 | 00H | 46 | 1.797 | 92 | 5CH |
| 2 | 0.078 | 4 | 04H | 48 | 1.856 | 95 | 5FH |
| 4 | 0.176 | 9 | 09H | 50 | 1.914 | 98 | 62H |
| 6 | 0.254 | 13 | 0DH | 52 | 1.973 | 101 | 65H |
| 8 | 0.352 | 18 | 12H | 54 | 2.031 | 104 | 68H |
| 10 | 0.430 | 22 | 16H | 56 | 2.070 | 106 | 6AH |
| 12 | 0.527 | 27 | 1BH | 58 | 2.129 | 109 | 6DH |
| 14 | 0.606 | 31 | 1FH | 60 | 2.168 | 111 | 6FH |
| 16 | 0.684 | 35 | 23H | 62 | 2.207 | 113 | 71H |
| 18 | 0.781 | 40 | 28H | 64 | 2.246 | 115 | 73H |
| 20 | 0.860 | 44 | 2CH | 66 | 2.285 | 117 | 75H |
| 22 | 0.938 | 48 | 30H | 68 | 2.324 | 119 | 77H |
| 24 | 1.016 | 52 | 34H | 70 | 2.324 | 120 | 78H |
| 26 | 1.094 | 56 | 38H | 72 | 2.380 | 122 | 7AH |
| 28 | 1.171 | 60 | 3CH | 74 | 2.402 | 123 | 7BH |
| 30 | 1.250 | 64 | 40H | 76 | 2.422 | 124 | 7CH |
| 32 | 1.328 | 68 | 44H | 78 | 2.441 | 125 | 7DH |
| 34 | 1.406 | 72 | 48H | 80 | 2.461 | 126 | 7EH |
| 36 | 1.465 | 75 | 4BH | 82 | 2.481 | 127 | 7EH |
| 38 | 1.543 | 79 | 4FH | 84 | 2.481 | 127 | 7EH |
| 40 | 1.602 | 82 | 52H | 86 | 2.5 | 128 | 80H |
| 42 | 1.680 | 86 | 56H | 88 | 2.5 | 128 | 80H |
| 44 | 1.738 | 89 | 59H | 90 | 2.5 | 128 | 80H |
T1定时时间到,则调用振荡器子程序,由DAC0832输出正弦波,正弦波的产生也是通过查表得到,将半波分成90份,即每2度为一个阶梯,用MATLAB编一小程序将所需数列成表格,每隔时间t查表一次,当查表90次后,通过DAC0832的输出可得出一个半波,再通过反向器叠加后得一正弦波。各阶梯值对应的角度、输出电压及输入数字量如表2所示。
图4阶梯正弦波形图 [p]
图5推理控制的CVCF系统结构图
此表所得阶梯正弦波如图4所示。这样可得到频率稳定度高的阶梯正弦波。
(2)推理控制子程序及算法
离散化推理控制的基本思想是,当系统的采样频率足够高时,采样系统的特性接近于连续变化的模拟系统,因而可以忽略采样开关和保持器,将整个系统看成是连续变化的模拟系统,从而用s域的方法校正装置D(s)。再使用s域到z域的离散化方法求得离散传递函数D(z)。设计的实质是将一个模拟调节器离散化,用数字控制器取代模拟调节器。设计的基本步骤是,根据已有的连续模型,按连续系统理论设计模拟调节器,然后按照一定的对应关系将模拟调节器离散化,得到等价的数字控制器,从而确定计算机的算法。
首先将离散化令K1=250,
T1=0.015
再将离散化
得308Uk(k)=490Uk(k-1)-185Uk(k-2)
+19Ue(k)-5Ue(k-1)
又Uk(k)=Ur-[Uf(k)-Uc(k)]
∴2Ua(k)=Ua(k-1)+250Uk(k-1)(1)
Ue(k)=Ur-[Uf(k)-Ua(k)](2)
308Uk(k)=490Uk(k-1)-185Uk(k-2)
+19Ue(k)-15Ue(k-1)(3)
当根据(1)、(2)、(3)可得推理控制的输出
令K1=2,K2=1,K3=250,K4=308,K5=490,K6=185,K7=19,K8=15
∴K1Ua(k)=K2Ua(k-1)+250Uk(k-1)(1)
Ue(k)=Ur-[Uf(k)-Ua(k)](2)
K4Uk(k)=K5Uk(k-1)-K6Uk(k-2)
+K7Ue(k)-K8Ue(k-1)(3)
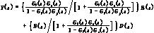
3推理控制的CVCF抗扰性能分析
推理控制的CVCF是一个输出可测、而扰动不可测的系统,设电源的输出为Y(s),输入为R(s),扰动为D(s),此时的电源不需要二次输出和估计器,只需一个估计模型,推理控制的CVCF系统结构如图5所示。
此时的系统输出为
推理控制器Gi(s)=Gf(s)/Gp(s),当Gp(s)=Gp(s)时,系统输出为
Y(s)=Gf(s)R(s)+[1-Gf(s)]B(s)D(s)
当Gp(s)≠Gp(s)时,系统的输出为
当滤波器的稳态增益为1时,在给定的阶跃扰动下,系统的主要输出Y(s)=R(s);在阶跃扰动不可测的情况下,系统的主要输出稳态偏差为Y(0)=0。
可见,系统具有非常好的性能,不管模型有何种误差,系统的主要输出总是稳态无偏差的,而且控制系统的可调参数很少。
射频工程师养成培训教程套装,助您快速成为一名优秀射频工程师...
天线设计工程师培训课程套装,资深专家授课,让天线设计不再难...
上一篇:一款太阳能警示灯的设计和实现
下一篇:LED热特性实际应用关键性能探讨

