- 易迪拓培训,专注于微波、射频、天线设计工程师的培养
LED汽车前照灯驱动电路设计与仿真
摘要:随着大功率LED性价比的提高,输出光流量的增加,使LED应用在汽车前照灯成为可能。在输入电压在10~14 V之间变化,负载采用8颗700 mA大功率白光LED的条件下确定驱动方式、拓扑结构和调光方式,设计一种基于LTC3783芯片PWM控制LED亮度的恒流LED汽车前照灯驱动电路,并用LTspiceIV软件对电路进行了仿真。结果表明,输入电压在10~14 V变化时输出电流为一个710 mA均值,有0.7%纹波的电流,电流精度为2.1%,输出电压为28.6 V,输出功率为20 W,电路转换效率为91%。有PWM信号输入时,电路输出一个与PWM信号相同占空比的电流。通过调节PWM信号的占空比实现LED亮度的控制。
关键词:汽车前照灯:大功率LED;脉宽调制:LTSPiceIV
0 引言
有统计表明,90%的交通事故是由于人的因素造成的,危险来源于复杂的交通状况,包括不合理信息、缺少信息以及过度紧张等。为了有效地减少盲区,避免眩光,提高夜间行车的安全性,一些著名汽车公司提出了先进前照灯系统或自适应前照系统(AFS)的概念,其特点是车辆前灯能主动调整照明光轴方向,自动适应夜间行车环境(包括迎面车辆、弯道坡度、高速公路、城市街区等情况)的变化。近年来,高亮度LED的发展很快,汽车前照系统中采用高亮度或超高亮度LED将是一种发展趋势。目前,已有1 201 m超高亮度LED的报道,8个超高亮度LED就能产生10 001 m的光强。LED光源除了显而易见的寿命长,结构坚固,功耗低等优点外,其固有的体积小,设计更灵便,反应快,控制更容易等特点,使它在汽车自适应前照系统中的应用有较大的潜在优势。
汽车电气是酸铅蓄电池供电的,典型值为12 V,但实际电压在12 V左右不断变化。如何利用电压值低且不断变化的汽车电源设计一种电流精度高,亮度可调,低功耗的驱动电路是制造LED汽车前照灯的关键技术。本文在输入电压为汽车电源电压,负载采用8颗700 mA大功率白光LED的条件下设计一种基于LTC3783芯片PWM控制LED亮度的恒流LED汽车前照灯驱动电路,输出电流稳定、精度高、电路转换效率高。
1 LED发光特性及驱动类型的选择
1.1 LED发光特性
由于LED本质上就是能发光的二极管,只不过门槛电压和导通压降要更大,它的动态阻抗相对较小,较小的电压变化就能导致较大的电流变化,其工作电流与导通压降呈指数式的变化规律,如下式所示:
![]()
式中:Is为反向饱和电流;If为正向工作电流,指LED正常发光时的正向电流值。
LED是电流型器件,发光亮度与工作电流有关,
。其中:m近似等于1;K为比例系数。当电流增大时,发光亮度呈正比增大。为保持同等的光输出,LED驱动电源应该控制通过LED的电流大小不变,即用恒流源驱动LED。
该设计中的负载采用8个Luxeon公司型号为LXML-PWC1-0120的LED串联。LED规格参数如表1所示。

1.2 驱动类型的选择
1.2.1 驱动方式
LED驱动方式可分为恒压源驱动和恒流源驱动。恒压源驱动的负载一般采用LED多支路并联,每个支路都要串连一个有一定阻值的镇流电阻,要求高电流输出时,电路的转化效率较低。由于LED是电流型器件,即使电压发生微小的变化也可引起电流的大幅度变动,恒压源驱动将影响到LED的发光质量和稳定性;恒流源驱动能控制输出电流稳定,LED发光质量好,一般采用串联连接,只有一个小阻值的检测电阻,效率相对较高,适用于汽车前照灯LED驱动上。恒流源串联驱动时,一般每个LED并联一个稳压管,防止某个LED烧坏导致整个电路开路。
1.2.2 拓扑结构
LED驱动电路可分为线性稳压器电路和开关型变换器电路。线性稳压驱动电路虽然比较简单,但是在芯片和限流电阻上的功耗比较大,效率非常低。开关型变换器驱动又分为电荷泵驱动和电感式驱动。电荷泵驱动器是利用电容将电流从输入端传到输出端,整个方案不需要电感,具有体积小,设计简单的优点,但它只能提供有限的输出电压范围,不适用于多个大功率LED串联。所以设计中采用了电感式升压驱动。在图1电路中,当MOSFET管M1导通时,电感电流增加,开始储能,LED开始发光,续流二极管由于承受反向电压关闭。当MOSFET管M1关断时,电感电流减少,开始释放能量,通过肖特基二极管续流。
1.2.3 调光方式
在汽车前照灯系统中,通过控制LED的亮度可以实现近光和远光的转换,而在自适应前照灯系统中调节LED亮度配合LED阵列不同位置LED的亮灭可实现照射光束不同的照明距离和偏转角度,适应不同的路况信息。当输入电压值有波动时,LED的电流也随着波动,通过电流反馈,可以进行调光控制保证流过LED的电流不变。另外LED亮度调节还可以应用在热调节电路上,代替传统的体积大的散热片装置。能够准确,高效地实现LED调光也是驱动电路考虑的重要因素之一。

通常情况下,可采用外部SET电阻、线性调节和PWM调节等技术来控制LED的亮度。在LED驱动器外部使用SET电阻的方式缺乏灵活性,无法进行动态调节。线性调节可动态控制LED的亮度,但会降低LED的效率,并引起白光LED朝向黄色光谱的色彩偏移。相比较而言,PWM调节技术的优势十分明显,当PWM脉冲为有效高电平或低电平时,LED输入电流分别为最大或0,其导通时间受控于PWM引脚输入脉冲的占空比。由于LED始终工作于相同的电流条件下,通过施加一个PWM信号来控制LED亮度的做法,可以在不改变颜色的情况下实现对LED亮度的动态调节。
为保证PWM调光不被人眼察觉,PWM调光频率一般要大于100 Hz,但过高的频率会增加MOSFET的动态损耗。该设计中取PWM调光频率为120 Hz。 [p]
1.2.4 设计规格
表2所示为本文LED恒流驱动电路的设计规格。

2 驱动主电路设计
2.1 电路组成
该电路主要由LTC3783,MOSFET管M1、M2,电感L1,续流二极管D9,检测电阻R9,输出电容C4大功率LED串组成的升压型电感式电流控制模式驱动电路。主电路如图2所示,LTC3783是凌特公司推出的电流模式多拓扑转换器PWM调光范围的大功率LED驱动器,应用范围包括电信、汽车和工业控制系统中的高压LED阵列、背光照明以及稳压器。

通过改变芯片FREQ引脚外接电阻的大小来决定芯片的高频控制信号频率f,GATE引脚输出一个峰值为7 V的脉冲信号,它是PWMIN引脚接收的PWM控制脉冲和芯片LTC3783高频控制输出脉冲的与。GATE引脚驱动MOSFET管M1,控制功率MOSFET管M1的通断,引起流过电感L1电流的变化,产生一个压降,它与输入电压的和为输出电压。PWMOUT引脚输出一个与PWMIN引脚相同的PWM控制脉冲信号,驱动MOSFET管M2,PWM脉冲的占空比决定LED串电流的占空比,进而控制LED串的亮度。FBN引脚接受检测电阻R9反馈的电压信号,当输出电流因输入电压发生变化时,调整电路占空比,保持输出电流恒定。
2.2 主要参数的计算
2.2.1 开关频率f的选取
PWM控制脉冲信号与芯片高频开关控制信号如图3所示,可以看出两者有如下关系:


采用PWM控制LED亮度时,一般为了避免让人觉察,控制脉冲的频率选择fPWM=120 Hz。每个控制脉冲高电平至少要包含2个芯片高频开关脉冲,即N>2。为了达到数字化实现DPWM为1:3 000的调光比,选择芯片频率f为1 MHz。而芯片开关频率是由连接在芯片FREQ上的电阻R2决定的。f与R2的关系如图4所示,该设计中选择R2=6 kΩ。 [p]
2.2.2 计算电路占空比D
电路最大占空比计算公式为;
![]()
式中:VOUT为输出电压;VIN(MIN)为最小输入电压;VD为二极管D4的正向压降V。最小输入电压为10 V,输出电压为28.6 V,二极管正向压降为0.4 V,由式(3)计算得到最大占空比为59%。LTC3783允许的最大占空比可以达到90 %。
2.2.3 计算最大输入电流
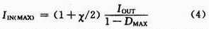
计算最大输入电流的目的是为了计算其他元件的额定值,输入电流计算公式为:
![]()
式中:χ/2表示纹波电流与平均电流的比值。这里取χ=Iout×20%=700 mA;DMAX为59%;算得最大输入电流为1.8 A。
2.2.4 输入电感L1的计算
经过电感L1的纹波电流为:

算得L=12μH。
2.2.5 输出电容C4的计算
输出电容主要是减少输出电流的纹波。LED上流过电流的纹波对LED的光效和光衰有重要影响,在一定的平均电流下,纹波越大,则有效值越大,转化成的热量越多,光效越低,光衰越厉害,寿命越短。所以对LED来说,较好的驱动电流是纹波很小的直流电流。
假设纹波电压不超过输出电压的1%,有:
![]()
电容越大纹波电流越小,考虑成本因素,取式(7)计算得到的输出电容最小值为5 μF。为防止产生过多的热量,输出电容应选取低ESR值,高耐压的陶瓷电容。
3 MOSFET管、续流二极管的选取
MOSFET管漏端电压为输出电压等于28.6 V,假设用高于额定电压的30 %来计算漏极峰值电压,那么MOSFET管漏极的最大电压为38 V。流过MOSFET管M1的最大电流IIN(MAX)为1.8 A,M2的最大电流为700 mA左右,一般选取实际电流的3倍为MOSFET管的额定电流。所以选取耐压值为60 V,最大正向电流为7.5 A,内阻为11 mΩ的N沟道MOSFET管,型号为SI4470EY。
D9的电压与MOSFET管M1的电压相同,最大电压为38 V,流过D9的电流等于负载输出电流700 mA,所以选择耐压值为40 V,最大正向电流为1.16 A的肖特基二极管,型号为ZETEX ZLLS1000。
4 仿真结果
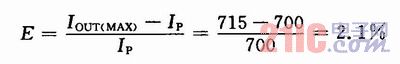
用LTspiceIV软件对电路进行仿真。图5是输入电压分别为10 V,12 V,14 V,无PWM调光时负载LED随时间变化的输出电流值。图5可以看出,随着输入电压发生变化,电路的占空比发生变化,输出电流基本不变。电流稳定后测得电流在705~715 mA之间变化,即驱动电路输出一个均值为710 mA,有0.7%纹波的电流。电流精度为:

式中IOUT(MAX)为实际输出电流最大值;IP为设定的输出电流。
图6为PWM调光时,PWM波形和MOSFET漏极电压波形图,可以看出功率管MOSFET的输入信号是PWM输出信号和LTC3783高频开关控制输出信号的与,两个信号的占空比都可以调节输出电流的大小。

[p]
图7为PWM调光时控制脉冲占空比分别为20%,50%,80%时实际的输出电流。实际输出电流与PWM脉冲的占空比相同,进而实现LED亮度的调节。

为计算电路的转换效率,测得驱动电路的输入电压、输入电流、输出电压和输出电流的值如图8所示。可以看出输入电压VIN为12 V,输入电流IIN为1.86 A,输出电压VOUT为28.6 V,输出电流IOUT为710 mA,因此电路转换效率为:


5 结语
本文基于凌特公司的LTC3783芯片,设计了用于汽车前照灯的8个大功率白色LED串驱动电路。仿真结果表明,在输入电压在10~14 V时,输出电流为一个均值,大小710 mA,有0.7%纹波的电流,电流精度为2.1%,输出电压为28.6 V,输出功率为20 W,电路转换效率为91%。驱动电路同时具有PWM调光的功能,输出一个与PWM信号占空比相同的电流。本文设计的LED驱动电路具有恒流精度高,输出功率大,转
换效率高,亮度可调的特点。
射频工程师养成培训教程套装,助您快速成为一名优秀射频工程师...

