- 易迪拓培训,专注于微波、射频、天线设计工程师的培养
单片机复位电路分析
单片机复位电路分析
摘要:总结了目前使用比较广泛的四种单片机复位电路,为微分型、积分型复位电路建立了数学模型,并比较了它们在使用中的可靠性,同时介绍了专用复位芯片。最后提出了设计复位电路应注意的问题及提高抗干扰性的措施。
关键词:复位 死机 可靠性
单片机目前已被广泛地应用于家电、医疗、仪器仪表、工业自动化、航空航天等领域。市场上比较流行的单片机种类主要有Intel公司、Atmel公司和Philip公司的8051系列单片机,Motorola公司的M6800系列单片机,Intel公司的MCS96系列单片机以及Microchip公司的PIC系列单片机。无论用户使用哪种类型的单片机,总要涉及到单片机复位电路的设计。而单片机复位电路设计的好坏,直接影响到整个系统工作的可靠性。许多用户在设计完单片机系统,并在实验室调试成功后,在现场却出现了“死机”、“程序走飞”等现象,这主要是单片机的复位电路设计不可靠引起的。图1是一个单片机与大功率LED八段显示器共享一个电源,并采用微分复位电路的实例。在这种情况下,系统有时会出现一些不可预料的现象,如无规律可循的“死机”、“程序走飞”等。而用仿真器调试时却无此现象发生或极少发生此现象。又如图2所示,在此图中单片机复位采用另外一种复位电路。在此电路的应用中,用户有时会发现在关闭电源后的短时间内再次开启电源,单片机可能会工作不正常。这些现象,都可认为是由于单片机复位电路的设计不当引起的。

目前为止,单片机复位电路主要有四种类型:(1)微分型复位电路;(2)积分型复位电路;(3)比较器型复位电路;(4)看门狗型复位电路。另外,Maxim等公司也推出了专用于复位的专用芯片[1]。

1 复位电路的数学模型及可靠性分析
1.1 微分型复位电路
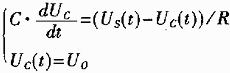
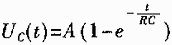
微分型复位电路的等效电路如图3所示。以高电平复位为例。建立如下方程:

电源上电时,可以认为Us为阶跃信号,即

。其中U0是由于下拉电阻R在CPU复位端引起的电压值,一般为0.3V以下。但在实际应用中,Us不可能为理想的阶跃信号。其主要原因有两点:(1)稳压电源的输出开关特性;(2)设计人员在设计电路时,为保证电源电压稳定性,往往在电源的输入端并联一个大电容,从而导致了Us不可能为阶跃信号特征。由于第一种情况与第二种情况在本质上是一样的,即对Us的上升斜率产生影响,从而影响了的URST的复位特性。为此假Us的上升斜率为k,从0V~Us需要T时间,即:

当T<<τ时,Us上电时可等效为阶跃信号。与前相同,当T>>τ时,令A=T/τ,则:

即此时的复位可靠性较前面的好。

另一种情况就是设计人员将一些开关性质的功率器件,如大功率LED发不管与单片机系统共享一个稳压电源,而单片机系统的复位端采用微分复位电路,由此也将造成复位的不正常现象。具体分析如图4所示。

将器件等效为电阻RL,其中开关特性即RL很小或RL很大两种工作状态。而稳压电源的基本工作原理是:ΔRL→ΔI→ΔU→-ΔI→-ΔU。从中可以看出,负载的变化必然引电流的变化。为了分析简单,假设R>RL,并且R>>R0.这样,可以近似地钭以上电路网络看作两个网络的组合,并且网络之间的负载效应可以忽略不计。
第一个电路网络等效为一个分压电路。当RL从RLmin→Rlmax时,使其变化为阶跃性持,则UA为一个赋的阶跃信号。
UA(t)=[Rlmax/(Rlmax+R0)]U t≥0
UA(t)=[Rlmin/(Rlmin+R0)]U t<0
用此阶跃信号作为第二个电路网络,一阶微分电路的输入,则可得下式: [p]
(d/dt)UA(t)=(1/RC)URST(t)+(d/dt)URST(t)
URST(0)=0
解之得:

从上式可以看出,由于负载的突变和稳压电源的稳压作用,将在复位端引入一个类脉冲,从而导致CPU工作不正常。
1.2 积分型复位电路
此电路的等效电路如图5所示。仍以高电平复位为例,同样可以建立如下方程:
当系统上电时,假设Us(t)=AU(t)为阶跃函数,U0=0,则:


当反相器正常工作后,Uc若仍能保持在VIL以下,则其输出就可以为高电平;而且如果从反相器正常工作后开始,经过不小于复位脉冲宽度的时间TR后,Uc才能达到VIL以上,那么上电复位就能保证可靠。所以在实际应用中,设计人员常常将R、CF的值增大以提高时间常数,并且应用具有斯密特输入的CMOS反相器以提高抗干扰性。然而此复位电路常常在二次电源开关相对较短的时间间隔情况下出现异常。这主要是由于放电回路与充电回路相同,导致放电时间常数较大,从而导致UC电压下降过度。为此有文献[2]介绍如图6所示的改进电路。

从图6可以看出放电回路的时间常数一般远远小于充电时间常数。这时,上面所提到的重复开关电源而造成上电复位不可靠的现象就可以得到控制。然而,由于放电时间常数过短,降低了此复位电路在工作中对电源电压波动的不敏感性。例如,当电源电压有波动时,此时由于放电过快,从而有可能造成Uc低于反相器的VIL电压值,带来不必要的复位脉冲。此现象在单片机工作于Sleep方式与Active方式切换,而电源输出功率又相对较弱时可能出现。为此提出针对以上现象的改进积分型复位电路(如图7所示)。图7中,R1<<R2,适当调整R1值的大小就可避免以上情况发生。

1.3 比较器型复位电路

比较器型复位电路的基本原理如图8所示。上电复位时,由于组成了一个RC低通网络,所以比较器的正相输入端的电压比负相端输入电压延迟一定时间。而比较器的负相端网络的时间常数远远小于正相端RC网络的时间常数,因此在正端电压还没有超过负端电压时,比较器输出低电平,经反相器后产生高电平。复位脉冲的宽度主要取决于正常电压上升的速度。由于负端电压放电回路时间常数较大,因此对电源电压的波动不敏感。但是容易产生以下二种不利现象:(1)电源二次开关间隔太短时,复位不可靠;(2)当电源电压中有浪涌现象时,可能在浪涌消失后不能产生复位脉冲。为此,将改进比较器重定电路,如图9所示。这个改进电路可以消除第一种现象,并减少第二种现象的产生。为了彻底消除这二种现象,可以利用数字逻辑的方法与比较器配合,设计如图10所示的比较器重定电路。此电路稍加改进即可作为上电复位与看门狗复位电路共同复位的电路,大大提高了复位的可靠性。

1.4 看门狗型复位电路

看门狗型复位电路主要利用CPU正常工作时,定时复位计数器,使得计数器的值不超过某一值;当CPU不能正常工作时,由于计数器不能被复位,因此其计数会超过某一值,从而产生复位脉冲,使得CPU恢复正常工作状态。典型应用的Watchdog复位电路如图11所示。此复位电路的可靠性主要取决于软件设计,即将定时向复位电路发出脉冲的程序放在何处。一般设计,将此段程序放在定时器中断服务子程序中。然而,有时这种设计仍然会引起程序走飞或工作不正常[3]。原因主要是:当程序“走飞”发生时定时器初始化以及开中断之后的话,这种“走飞”情况就有可能不能由Watchdog复位电路校正回来。因为定时器中断一真在产生,即使程序不正常,Watchdog也能被正常复位。为此提出定时器加预设的设计方法。即在初始化时压入堆栈一个地址,在此地址内执行的是一条关中断和一条死循环语句。在所有不被程序代码占用的地址尽可能地用子程序返回指令RET代替。这样,当程序走飞后,其进入陷阱的可能性将大大增加。而一旦进入陷阱,定时器停止工作并且关闭中断,从而使Watchdog复位电路会产生一个复位脉冲将CPU复位。当然这种技术用于实时性较强的控制或处理软件中有一定的困难。
[p]
2 专用复位芯片简介(MAX813L)
目前,在市场上有许多流行的专用复位芯片,了解它们的工作原理对电路可靠性的分析及设计至关重要。以Maxim公司生产的MAX813L为例,解剖专用复位芯片的一般工作原理。对于其它芯片,可根据本文所提供的四种复位电路一一对其分析即可求得结论。
MAX813L具有上电复位、Watchdog输出、掉电电压监视、手动复位四大功能。具体原理框图如图12所示。本文局限于讨论复位电路部分及看门狗定时器部分。从图12中可以看出,WDI(Watchdog Input)主要是作为Watchdog计数器重定用的。在1.6秒内若CPU不触发复位看门狗定时器,则WDO(Watchdog Output)将输出低电平。复位电路分为手工复位与上电复位。从原理图12中可以看出,上电复位与本文图10所提到的电路原理相同,即用比较器产生触发信号触发触发器,以此产生复位信号。同时,对时基产生的脉冲进行定,当复位时间达140毫秒时,Reset发生器产生一脉冲使复位信号无效。上电复位时,只要电压低于4.63V,复位信号Reset就有效;当电源电压超过4.63V时,Reset信号仍将继续保持140毫秒左右,以保证CPU复位可靠后无效。手动复位时,MR(Manual Reset)接地时间不小于150纳秒,则可产生一个手动复位过程。即在复位端产生140毫秒的有效复位信号(高电平有效)。若将WDO端与MR连接,则可组成上电复位及看门狗复位电路。

3 复位电路设计时的注意点

本文所提到的各种复位电路中,微分复位电路简单,但易引入干扰没有监控CPU运行的能力;积分复位电路简单可靠,但由于对电源电压波动不敏感,从而有可能出现CPU由于电源电压的瞬间过低而造成工作不正常的情况;比较器复位电路电路较复杂,工作可靠;Watchdog复位电路电路较复杂,工作可靠并且具有监控CPU运行的能力。在使用中应根据电路板的空间、电源电压特性、系统运行现场等情况,综合考虑而定。般有以下几条可供参考:
(1)在使用微分型复位电路并且使用稳压电源时,应考虑在电容输入端加入适当的电感以减少负载突变而引起的干扰复位脉冲的产生。在电路板空间有限的情况下可以选用此复位电路。
(2)在使用积分型复位电路时,一方面应着重考虑上电复位时电源电压的上升率,特别在电源电压上升率较小时,应考虑用较为复杂的比较型复位电路。另一方面应考虑电路是否有降压举措以降低功耗,若有则应考虑二极管的正向压降对复位电路的影响。
(3)在设计比较器型复位电路时,应着重考虑电源电压的波动性。当系统工作在恶劣环境下时,外界干扰的窜入可能引起毛刺电压,从而导致不正常的复位。为此有必要根据手刺电压的峰峰值以及脉宽采取以下措施:(a)当毛剌电压峰峰值没有达到电源电压的正常值与系统正常工作所需最低电压值之差时,可适当降低比较器的复位电压下限;(b)当毛刺电压峰峰值超过电源电压的正常值与系统正常工作所需电压之差时,一方面应采取措施降低毛刺电压,另一方面应采用较为复杂的比较器型上电复位电路(如图10所示)。
(4)在选用或自己设计Watchdog型复位电路时,应注意输入Watchdog的“喂狗”信号应该是沿信号,而不是电平信号,同时应考虑撤销复位电压的电源电压值应大于系统最小正常电压值。
射频工程师养成培训教程套装,助您快速成为一名优秀射频工程师...

