- 易迪拓培训,专注于微波、射频、天线设计工程师的培养
一种带应急照明功能的烟雾感知报警电路设计
摘要:具有应急照明功能的烟雾感知报警电路在现代化高楼大厦中有广泛的应用前景。本系统采用MSP430单片机作为主控核心,应用成熟的光电检测电路来监测烟雾,应急照明采用市电检测和光电检测并用的方法。与以前的分立系统相比这套系统布线简化,可靠性高,并且降低了成本,产品也更加智能化。
关键词:MSP430;烟雾监测;光控检测
在现代的高楼大厦或者公共场所,各种安全设备的设立是必不可少的。烟雾报警器、应急照明灯是其中两种人们常见的安全设备。烟雾报警器一般由烟雾传感器和烟雾探测芯片组成。应急照明灯一般都由一套充放电电路,连接在室内电源上。在建筑物内,它们都需要单独布线,这样既浪费资源又影响美观。如果有种产品既能实现应急照明功能,又可兼顾烟雾感知报警,那么问题就迎刃而解了,如图1所示。

1 系统设计
由于系统主要实现的是应急照明和烟雾报警这两方面的功能,所以可以把系统分成几个主要的部分分别设计,以下是系统组成框图。以MSP430单片机作为整个电路的核心控制单元,通过它控制其他模块来完成各种操作。电源电路采用集成三端稳压器,不仅要完成给蓄电池充电,还有满足系统正常运行。系统许多模块都很容易比较成熟的应用实例,这里不再复述,下面重点介绍几个重要模块的设计。
2 中央处理单元
本文选择MSP430单片机为核心器件。MSP430系列单片机是TI公司推出的16位超低功耗的混合数字信号处理器,它针对实际应用需求,把许多模拟电路、数字电路和微处理器集成在一个芯片上。MSP430是基于精简指令集(RISC)结构的16位单片机,使用8MHz晶振工作时,指令速度可达8MIPS。MSP430单片机的电源采用1.8~3.6V低电压,RAM数据保持方式下耗电仅为0.1μA,I/O输入端口的漏电流最大仅50nA。
MSP430有正常工作模式(AM)和5种低功耗工作模式(LPM0~LPM4)。当电源电压为3V时,各种模式的工作电流分别为AM:340μA,LPM0:70μA,LPM2:17μA,LPM3:2μA,LPM4:0.1μA,单片机可以方便地在各种工作模式之间切换。MSP430的超低功耗使其在报警系统、便携式设备等对供电要求非常苛刻的应用中表现出优良的特性。MSP430系列单片机结合了TI公司高性能的模拟技术,各成员都集成了较丰富的片内外设(视不同型号而定),这些外设包括多通道高精度的ADC和DAC、片内模拟比较器、多个具有PWM功能的定时器、片内USART、硬件乘法器、液晶驱动器、看门狗定时器(WDT)、片内数控振荡器(DCO)、大量的I/O端口以及大容量的片内存储器等,单片可以满足绝大多数的应用需要。MSP430的高集成度使应用人员不必在各种外设上花太多的精力,便可以方便地设计出真正意义上的单片系统。
[p]
3 烟雾探测电路
本系统主要是通过烟雾监测电路和光控电路采集外部环境信号,再通过中央处理单元进行分析并判断系统工作模式。所以烟雾监测电路和光控电路作为系统前端是非常重要的。图2是烟雾报警电路的电路图。

D1和D2被置于光电感应室(俗称:迷宫)中,二者之间有障碍,D1发射的红外线不能直接被D2接收,当有烟雾进入迷宫时,红外线经烟雾折射后被D2接收,继而转化成电信号,以此检测烟雾的存在。单片机每隔一段时间由I/O端口P1.6输出高、低电平,控制D1发射红外线和停止发射,以探测烟雾。传感器间歇性地工作,便于降低功耗。集成运放的电源由单片机经P1.5提供。同样,只有在传感器工作时,运放才相应地对接收信号作放大处理,避免连续工作以降低功耗。信号经放大后通过单片机的P1.4引脚进入MSP430片内A/D转换器,避免了设计独立的A/D转换电路,既降低了功耗,同时也提高了系统的可靠性。P1.4作为ADC的输入通道A7。
4 应急灯检测电路
该电路由两部分组成,一个是市电检测电路,另一个是光控检测电路。只有同时满足这两个条件时,中央处理单元才会给外围控制电路发出信号点亮应急灯(见图3)。这部分电路不仅要有硬件电路,同时还需要软件辅助。

电阻R9和LED灯接在整流滤波电路之后,其主要作用是:当市电正常工作时,LED正常发光(可做电源指示灯判断市电是否正常)。此时无论其工作场所的光线强弱与否,光敏电阻Rg均呈低阻状态,三极管截止,给单片机的P1.3口送高电平,通过内部程序控制使应急灯灯不亮。
当市电断开,我们可以通过LED指示灯熄灭来判断。但是如果工作场所光线较强时,光敏电阻Rg仍旧呈低阻状态,控制电路使应急灯不亮。但是当市电断开且工作场所光线较弱时,光敏电阻Rg将呈高阻态。此时三极管导通,给单片机的P1.3口送低电平,通过内部控制程序点亮应急灯。
[p]
5 信号数据处理
火灾现场的环境复杂,火灾信号也具有很大的随机性,传感器探测到的烟雾参数是无法预知和不确定的。环境变化和探测器系统内部噪声对烟雾参数会产生干扰,需要将A/D转换后的数据经过滤波处理,并要求信号处理算法能够适应各种环境因素变化的影响,自动调整报警参数以达到既能快速探测火灾又有降低误报率的目的。
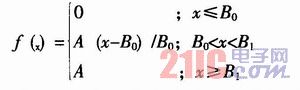
模糊数学中的模糊逻辑理论较好地解决了采用精确计算和布尔逻辑难以确定的问题,因此在软件设计中,信号数据处理程序采用了模糊逻辑算法以解决外界干扰的模糊性和报警阈值变化之间的关系,从而达到提高探测器可靠性的目的。首先对经过A/D转换后的烟雾信号模糊化,具体如下:当烟雾信号值x小于阈值B0时,认为没有出现火警,当信号值x大于阈值B1时,认为出现火警,当信号值x介于B0和B1两个阈值之间时,认为可能出现火警,并且x越大越接近B1时,火警出现的根据越充分。模糊化隶属度函数如下

式中,A为反应火灾出现可能性的模糊量,f(x)为相应的隶属度。
6 软件系统设计
IAR公司的IAR Embedded Workbench是一套支持TI MSP430处理器的集成开发环境,支持汇编语言和C语言的编译、仿真与调试。为了加强软件的可读性和可移植性,采用C语言开发应用程序。
应用程序设计采用模块化的设计思想。整个程序包括:主程序和中断服务子程序两大部分。主程序由初始化模块、烟雾信号处理模块、应急灯信号处理模块三大部分组成。中断服务子程序由烟雾信号探测及采样模块、应急灯信号探测及处理模块、低电压检测模块和系统自检模块构成。烟雾信号探测及采样流程如图4所示。

在采样程序中,由于光电传感器及信号放大电路的上电和稳定需要一定时间,因此在开启A/D转换器之前要延迟一段时间,以等待传感器和放大电路稳定。MSP430单片机的P1和P2端口除了具有输入输出功能和外部模块功能外,端口中的每一位都具有开关中断的功能,利用这些开关中断的中断服务程序可以实现一些额外的功能。
7 结束语
本文所设计的电路是对烟雾报警电路和应急照明电路结合,很好的解决了引言中所提出的问题,提高了建筑的空间和电力的利用率。并且将MSP430内嵌到烟雾报警器中,一方面增强了报警器的性能,使之更加智能化,另一方面降低了开发难度。MSP430系列单片机型号众多,开发者可根据产品的功能和成本作合理的选择。
射频工程师养成培训教程套装,助您快速成为一名优秀射频工程师...

