- 易迪拓培训,专注于微波、射频、天线设计工程师的培养
完整的LED调光电路设计过程
最近美国国家半导体公司开发直接连接双向交流触发三极体调光器,几乎完全不会发生闪烁现象的LED驱动IC LM3445与评鉴基板。接着笔者组合评鉴基板与简易双向交流触发三极体调光电路,说明LM3445的评基板鉴与电路设计的重点。
评鉴基板封装LM3445、电源电路,以及周边电路,评鉴基板使用双向交流触发三极体调光电路,输入已经受到位相控制的电压,利用高频切换器提供LED电流,LED驱动器设有可以控制流入LED电流峰值的降压转换器,动作时设定OFF时间超过一定值以上。动作上首先接受双向交流触发三极体调光电路的输出电压,接着检测双向交流触发三极体的ON时段,再将此信号转换成流入LED电流指令值,此时流入LED电流与双向交流触发三极体ON时间呈比例,就能够沿用传统白热灯泡的调光电路。此外上记评鉴基板支持还主从结构,能够以相同电流调光复数LED。
评鉴与电路整体架构
图1(a)是评鉴电路方块图;图1(b)是双向交流触发三极体的调光电路,由图可知本电路采取“Anode fire”方式,使用双向交流触发三极体的两端电压当作驱动电压,通过可变电阻VR后,使电容器C1充正电压或是负电压,此时不论极性,电容器C1的电压一旦超过一定程度,触发二极管通电会使双向交流触发三极体点弧,流入双向交流触发三极体的电流,即使超过一值仍旧持续通电,电流则流入负载。

图中的二极管D1~D4与15kΩ电阻,连接于双向交流触发三极体的两端,主要目的不论极性都能够使电容器C1的开始充电电压维持一定值,此外为避免受到商用电源极性影响,因此刻意将此整合成相同点弧位相的电路。由于双向交流触发三极体电路OFF时,不会完全遮断电流,大约有15kΩ的阻抗值,为减少对评鉴基板的影响,本电路插入1kΩ的假电阻。图1(c)是供应评鉴基板的电压波形,取电源的正弦波。
图2是评鉴基板的电路图,根据图1(c)的电压波形可知,输出调光LED的电流要求各种技巧,第1调光必需指定流入LED的电流,因此评鉴基板若能够从双向交流触发三极体的ON时段获得信息,理论上LED只要流入与该时段呈比例的电流,LED就能够沿用传统白热灯泡的调光器进行调光。

LM3445的ON时段在450至1350范围,支持0%~100%的电流值指令,若以双向交流触发三极体的弧点角度θ表示,它相当于1350~450范围。
第2是输入评鉴基板的电源,使用双向交流触发三极体进行位相控制,因此无电压时段,即使使用高频切换电路也无法消除闪烁问题。上记电路为消除闪烁,未使用电容输入型电路,改用填谷电路尽量减轻对电源的影响,因此本电路设置D4、D8、D9、C7、C9,以C7、C9串行电路使输入的电压峰值充电。
C7、C9相同容量时,各电容器的充电电压是输入电压峰值的一半,换句话说输入电压峰值变成一半时,各电容器开始放电,输入电压峰值变成一半为止则以填谷电路动作,如此一来转换器的输入电压能够维持一定,同时还可以高频使LED点灯。图3是填谷电路与输出、入电压波形。由图可知输入电压波形是双向交流触发三极体输出整流后的波双向交流触发三极体的ON时段(角度),大于900时会变成一半,低于900时=1/2×sin(180-ON时段)=1/2×sinθ。

第3是LED的电流调整电路,并不是可以使降压转换器维持一定频率方式,而是采用能够使OFF时段维持一定的方式,因此设计上要求承受输入电压、LED电流大范围变动。虽然动作频率随着输入电压与负载改变,不过本电路可以完全忽略LED的闪烁问题,轻易设定频率范围。评鉴基板的基本设计与动作方式,建立在上记3项设计核心技术,除此之外为设定条件,电路上还要求其它各种技巧。接着以8个LED为范例,探讨评鉴基板的电路定数。
[p] 降压转换部位的动作
图4是降压转换部位相关电路图,由图可知它是由切换用FET Tr2、电感L2、续流二极管D10构成降压转换部主要电路,除此之外电流复归用电阻器R3、决定FET OFF时间的电容器C1、充电电路Tr3、R4、吸收波动电流的电容器C12、LM3445的内部结构,锁定转换器的动作,细节忽略不详述。图中的L5是磁珠电感,它可以抑制续流二极管D10的逆回复电流。

Tr2 ON时,流入L2的电流取决于输入电压Vbuck与LED电压VLED两者的电压差,最差情况LED的顺电压下降为3.99V,8个LED串联需要31.9V。流入Tr2的电流除了受到电流指令最大值750mA的限制之外,有关对短路等异常电流的保护,本电路备有电流限制器功能,不过Tr2正确动作的代价是输入电压最大值有极限。
IC内部的起动电路一旦开始动作,GATE信号变成H,就会使Tr2 ON进入行程。LM63445即使ON,电流的检测不会以一定时间进行,IC内部的125ns延迟时间内,电流检测电阻R3的电压R3,利用内部FET持续限制在0V,PWM与I-LIN两转换器的输入维持L状态,这样的设计主要目的是考虑Tr2 ON时,二极管D10的逆向回复电流很大,避免瞬间迁移至GATE信号变成OFF状态,转换器可能无法起动。
延迟时间内Tr2 ON时电流的过渡变化,Tr2的电流与L2一旦相同,就进入检测L2电流变化的行程,该电流检测功能有所谓无效时间,因此降压转换器的输入电压最大值时,为确实保障此延迟时间,如图5所示要求最小200ns的ON时间。延迟时间之后随着直线上升的L2电压,R3的电压也直线上升,该电压经过电流感测端子ISNS输入至PWM转换器,一直到电压到达电流指令值为止,GATE信号维持ON状态。评鉴基板的电流检测用电阻R3大约1.8Ω,PWM的电流指令值最大值,750mV时为417mA,延迟时间与温度有依存关系,大约100~160ns。

PWM转换器进行IC内部产生的电流指令值与R3电压比较,R3的电压超过电流指令值,H的信号经过内部控制电路使GATE信号OFF。此外本电路还设置PWM转换器不动作时的I-LIM转换器,超过1.27V峰值会使GATE信号OFF抑制电流。Tr2 OFF时L2的电流移至D10,L2则以LED的一定电压开始再设定(reset),L2的电流呈直线性衰减,磁束则被再设定(reset)。评鉴基板的此OFF时间取决于LED的电压,主要理由在动作范围,希望优先正确进行L2的磁束再设定。
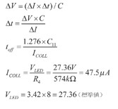
决定OFF时间的电容器C11与定电流电路Tr3、R4,定电流电路利用LED的顺向电压,配合LED的电压使电流流动C11,C11的电压呈直线性上升,利用该电压与时间呈比例的特性。定电流电路的动作非常简单,配合LED的顺定下降电流流入R4,Tr3的基准电流配合Tr2的增幅率电流流动,由于流入Tr3集极(collector)的电流与流入R4的电流几乎相同,因此C11内部有一定电流流动,该电压呈直线性上升,C11的电压被输入至LM3445的COFF则进入COFF的比较器(Comparator),电压一旦超过1.276V基准电压,再度使GATE信号移转至ON状态,换言之OFF时间是与LED的电压呈比例的值。
综合上记结论可知,GATE信号ON时IC的COFF输入,亦即C11在IC内部以33Ω的阻抗值短路,此时C11的电压几乎维持0V,一旦进入OFF行程就开始对C11定电流充电,亦即开始时间计数。接着以评鉴基板为例试算OFF时间。

假设:

由此可之电感L2的再设定时间大约3.2μs。电感L2的再设定电压是LED的电压VLED,它是一定值。电流直线性下降,持续到FET的下个ON为止。L2的电流变成连续的条件(不会变成0),该电流的变化成份,反而变成LED的波动电流成份。
假设:
OFFB时间=3.2μS
L2=470μH
如此一来就可以求得波动电流:
接着试算ON时间,ON时转换器的输入电压Vbuck与LED的电压VLED的电压差施加于L2,此处计算该波动电流186mA的变化时间,假设:

图6是根据电路定数计算的L2最大电流波形,使用的LED最大平均电流为350mA,如果根据评鉴基板的定数计算,转换器的公称动作频率变成:

[p] 电流指令的电路与动作
降压转换器的动作概要如上记,降压转换器的电流指令利用双向交流触发三极体产生,图7(a)是电流指令值产生电路;图7(b)是动作概要;图7(c)是电流指令值的范围。利用双向交流触发三极体体进行位相控制的电压,亦即双向交流触发三极体导通时输入的电压,被施加至Tr1的网关与汲极,一旦施加位相控制的电压,虽然取决于Tr1的特性,不过此时大约10V的电压被输入至BLDR端子,输入峰值7.2V的转换器输出迁移变成H,4μs后230Ω的负载加入转换器输入,可以补强双向交流触发三极体的拴锁器电流,使双向交流触发三极体正确动作。

BLDR转换器的输出变成峰值4V的脉冲列输出至ASNS,该以R1、C3与IC出口的损失平顺化,制作脉冲列的平均电压,变成FLTR1的电压。FLTR1的电压则被输入至RAMP转换器,再与内部的锯状波形比较,此锯状波形值为3V,谷底值为1V,FLTR1的电压值低于1V,RAMP转换器的输出变成H,流入RAMP转换器的电流指令值变成0V,反过来说FLTR1的电压值超过3V时,RAMP转换器的输出变成L,连接的FET变成OFF状态,汲极电压VQ大约750mA,因此流入RAMP转换器的电流指令值,就是内部电压最大750mA。
由此可知FLTR1的电压值与双向交流触发三极体的导通角度呈比例,可以检测的控制角θ在一定范围内。双向交流触发三极体的导通角度为1800-θ,导通角度与半波周期比1800-θ/1800的值,在1/4~1/3范围内,因此在450≦θ≦1350范围内,产生与角度(1800-θ)呈比例的电流指令,θ=1350时,电流指令=0V,θ=450时,电流指令=750mV最大值。
周边电路的设计
以上根据LM3445评鉴基板电路与电路定数,探讨电路动作特性,接着介绍LM3445周边电路的设计技巧。LM3445的主要功能分别如下:
(1)以位相控制的双向交流触发三极体为前提,将双向交流触发三极体的通电角度转换成流入LED的指令值,支持位相角度450~1350范围,电流指令值最大750mV~0V
(2)以降压转换器OFF时间一定方式为前提,优先稳定动作,利用LED的电压几乎是一定的特征。
(3)降压转换器ON时脉冲宽度必需是最小值的限制,要求200ns以上,因此转换器的输入电压有上限的限制。
(4)降压转换器的最低输入电压,要求双向交流触发三极体位相角度1350时,交流输入电压值必需大于LED的电压。利用降压转换器使LED的电流维持一定,LED的电压VLED与转换器的输入电压Vbuck比D在转换器没有损失时,它与切换组件Tr2的ON时间,以及控制周期T的比完全相同,有损失时D与效率η呈反比率变大,此时使用下式表示:

评鉴基板的设计条件如下:
˙电压:AC90V~135V
˙电流:350mA
˙LED数量:串联7~8个
评鉴电路选择LED电流350mA种类,评鉴基板根据定数以250kHz附近动作,使用评鉴电路的条件进行。LED的条件如下:
˙VF = 2.79~3.42~3.99V
˙ILED = IF = 350mA(最大),500mA(脉冲)
˙输入电压:AC80~120V(AC100V±20%)
˙动作频率:额定输入电压时250kHz
假设降压转换器输入电压为额定电压峰值,降压转换器的效率η,根据技术资料为85%,依此试算LED串联8、7、6、5、4,此时VLED分别是27.36、23.94、20.52、17.1、13.68,根据上式(1):

计算结果如下:
˙toff = 3.09μs@8个LED串联
˙toff = 3.20μs@7个LED串联
˙toff = 3.32μs@6个LED串联
˙toff = 3.43μs@5个LED串联
˙toff = 3.54μs@4个LED串联
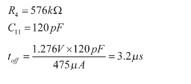
最后决定采用toff =3.09μs。C11到达LM3445 COFF 峰值1.276V的时间,取决于C11的容量与一定充电的电流ICOLL,ICOLL(一般数十μA)的选择由C11决定,C11以下式表示:

假设C11=120pF,如此一来:
评鉴基板的R4=576kΩ,相当于toff=3.2μs,它是流入LED的额定电流时off的时间,电流指令很小时LED的电压降低,off的时间变长。波动电流Δi是决定电感L2电感值的要因,增加电感值波动电流降低,LED的电流连续范围变大,L2的容量变大、单价上升。由于动作频率很高,不易察觉该频率的闪烁,因此选择低电感值,Δi=50%。
Δi=350×0.5=175mA
接着计算L2的电感值:

评鉴基板的L2为470μH,因此L2的波动电流 Δi变大,此处观察评鉴基板L2=470μH时,LED的串联数量与波动电流的变化。波动电流Δi以下式表示:
根据上述可以获得表1的LED串联数量与波动电流Δi关系,由表1可知LED串联数量减少,L2的电流波动随着降低,上记评鉴基板toff=3.20μs,计算上Δi=186mA,波动电流为53%。

图中的C12可以抑制流入LED的波动电流,上记评鉴基板使用1μF,吸收250kHz时的锯齿状波动电流,以评鉴基板为范例,250kHz时Δi=186mA的波动电流,该交流成份换算成实效值变成:
假设电流全部流入电容器C11,此时C11的电压变成:
由此可知流入LED的波动电流受到抑制。降压转换器的输入最低电压Vbuck(min)以下式计算:
考虑整流架桥与埋谷电路的二极管电压降低(大约3V),变成:
40V-3V=37V
超过VLED=27.36V,因此转换器能够动作。此外在此范围的电流指令值几乎是0,由于Tr2电流不检测时间的最小脉冲宽度为125ns,因此Tr2可以动作。
转换器的最大电压Vbuck(max):
要求合适的二极管、FET等半导体的电压规格。降压转换器动作上Tr2的ON时间超过200ns,确定可以稳定动作。以下是8个LED串联时的计算结果:

C7与C9放电时放电量很大的场合,输入电压很小却提供最大电流,此时电容器只进行放电,一直到下次放电为止的期间,如果电压降至电流无法流入LED的值,就不能确保LED的光束量,为避免上记问题,设计上C7与C9的电压值选择超越LED的电压。电压Vbuck最小值如图8所示假设:
ΔV=20V

最小点变成:
54-20=34>27.36V
因此C7与C9在20V放电也可以。

Iled:评鉴基板的最大值
Δt=3.33ms(相当于50Hz电源60°)
由于C7与C9都是33μF,因此C=66μF非常充分。此外评鉴基板还设置:
˙消除波动滤波器(L3、C1、L4、C15)
˙一般模式滤波器(L1)
˙累增二极管(Avalanche Diode)(D12)
˙热敏电阻(Thermistor)(RT1)
˙保险丝(F1)
有关消除波动滤波器,由于Tr2的OFF时间与ON时间大幅改变,设计消除波动滤波器时,必需考虑以动作频率最低值抑制波动电流。有关一般模式滤波器,要求可以检查开启电源时,流入电解电容器的突波电流、二极管、电容器的电流、电压耐量的协调动作。突波电流必需配合消除波动滤波器的关系进行检讨,虽然一般模式滤波器增加对地阻抗,可以抑制漏泄电流,不过对Tr2、D10的特性、基板布线结构却有相关性。
组件表内记载D12的破坏电压VBR=144V,不过实际封装组件与厂商的标示不一致,假设组件表内的记载数据是正确的话,笔者建议重新检讨AC135V输入时的动作。
[p] 电路测试结果
测试电路测试条件与测试结果分别如下:
测试条件
˙输入电压:AC80V
˙通流角度:450以下,900附近,1350以上
˙测试部位:TP3----V+→整流端的电压
TP4----Vbuck→埋谷电路输出电压
Tr1----源极端子→BLDR输入
TP15----GATE信号
TP16----R3电压(检测电流)
测试结果与考察
图9是双向交流触发三极体导通电流的角度与LED电流的变化测试结果,根据测试结果可知双向交流触发三极体未通电领域,一直到所有通电领域都非常稳定动作。图10是交流输入电流的波形,虽然流入填埋电路C7、C9的充电电流非常显眼,不过它可以利用滤波器L3、L4抑制,比所谓的电容输入电路更优秀。


图11是埋谷电路的电压波形;图12是GATE信号与Tr2的电流(R3的电压)波形,由图可知LED的电流几乎是0V,大约是300mA的数据,Tr2的OFF时间则与流入LED的电流值,亦即LED的电压有依存关系,电流很小、OFF时间延长,反过来说电流很大、OFF时间缩短。此外Tr2的ON时间取决于流入LED的电流与填埋电路的电压,埋谷电压很低、Tr2的ON时间变长,转换器的动作频率大幅变化,因此选择输入滤波器时必需列入考虑。ITr2的的GATE信号ON时,突出状电流流动,碍于篇幅限制省略定量评鉴结果,评鉴基板设有保险丝与电感L5。


结论
随着LED芯片电光转换效率的提升,制作成本却持续下跌,使用LED光源的照明灯具逐渐取代传统荧光灯与白热灯泡,开发LED灯泡专用调光器的同时,市场要求能够沿用白热灯泡调光器的声浪也日益高涨,传统白热灯泡的调光器,使用结构简易的双向交流触发三极体位相控制,由于白热灯泡主要是透过钨丝高温发光,因此双向交流触发三极体的位相控制,无电压时段也不会产生闪现象烁。
光源变成LED方式时,相同的双向交流触发三极体位相控制,频率是一般商用频率2倍,受到无电压时段的影响,LED Lamp容易出现闪烁现象,有鉴于此美国国家半导体公司开发,可以直接连接双向交流触发三极体的调光电路,以及几乎完全不会发生闪烁现象的LED驱动IC LM3445,透过此专用LED驱动IC,就能够轻易实现沿用白热灯泡调光器的目标。
射频工程师养成培训教程套装,助您快速成为一名优秀射频工程师...

