- 易迪拓培训,专注于微波、射频、天线设计工程师的培养
详解PFC电感的计算
中心议题:
Boost功率电路的PFC连续工作模式的基本关系
临界连续Boost电感设计
通常Boost功率电路的PFC有三种工作模式:连续、临界连续和断续模式。控制方式是输入电流跟踪输入电压。连续模式有峰值电流控制,平均电流控制和滞环控制等。本文介绍Boost功率电路的PFC连续工作模式的基本关系及临界连续Boost电感设计。
连续模式的基本关系
1. 确定输出电压Uo
输入电网电压一般都有一定的变化范围(Uin±Δ%),为了输入电流很好地跟踪输入电压,Boost级的输出电压应当高于输入最高电压的峰值,但因为功率耐压由输出电压决定,输出电压一般是输入最高峰值电压的1.05~1.1倍。例如,输入电压220V,50Hz交流电,变化范围是额定值的20%(Δ=20),最高峰值电压是220×1.2×1.414=373.45V。输出电压可以选择390~410V。
2. 决定最大输入电流
电感应当在最大电流时避免饱和。最大交流输入电流发生在输入电压最低,同时输出功率最大时

其中: Uimin -最低输入电压;η-Boost级效率,通常在95%以上。
3. 决定工作频率
由功率器件,效率和功率等级等因素决定。例如输出功率1.5kW,功率管为MOSFET,开关频率70~100kHz。
4. 决定最低输入电压峰值时最大占空度
因为连续模式Boost变换器输出Uo与输入Uin关系为 ,所以

从上式可见,如果Uo选取较低,在最高输入电压峰值时对应的占空度非常小,由于功率开关的开关时间限制(否则降低开关频率),可能输入电流不能跟踪输入电压,造成输入电流的THD加大。
5. 求需要的电感量
为保证电流连续,Boost电感应当大于

其中:,k=0.15~0.2。
6. 利用AP法选择磁芯尺寸
根据电磁感应定律,磁芯有效截面积

如果电感是线性的,有

因为Boost电感直流分量很大,磁芯损耗小于铜损耗,饱和磁通密度限制最大值。为保证在最大输入电流时磁芯不饱和,应当有

因此,面积乘积

其中kw=0.3~0.5窗口填充系数,也称为窗口利用系数。B《B/(1+k)。由此选择磁芯。
推荐相关文章:
基于DDS的寄生电感测量仪设计LCR测量仪在阻抗测量中的应用耦合电感 SEPIC 转换器的优势第四讲:单段隔离型功率因数校正LED驱动器浅谈电子制造过程中的静电及静电防护共模电感电感的特性电感q值计算常用电感计算公式pfc工作原理
输出功率在1kW以上,一般采用气隙磁芯。因环形磁粉芯价格高,且加工困难,成本高。但是气隙磁芯在气隙附近边缘磁通穿过线圈,造成附加损耗,这在工艺上应当注意的。 [p] 7. 计算匝数

临界连续Boost电感设计
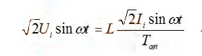
1. 临界连续特征
Boost功率开关零电流导通,电感电流线性上升。当峰值电流达到跟踪的参考电流(正弦波)时开关关断,电感电流线性下降。当电感电流下降到零时,开关再次导通。如果完全跟踪正弦波,根据电磁感应定律有

或

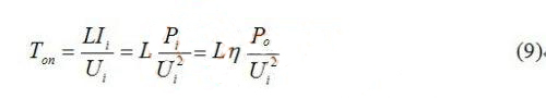
其中:Ui、Ii为输入电压和电流有效值。在一定输入电压和输入功率时,Ton是常数。当输出功率和电感一定时,导通时间Ton与输入电压Ui的平方成反比。
2. 确定输出电压
电感的导通伏秒应当等于截止时伏秒:

则

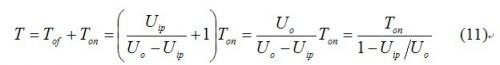
开关周期为

可见,输出电压Uo一定大于输入电压Uip,如果输出电压接近输入电压,在输入电压峰值附近截止时间远大于导通时间,开关周期很长,即频率很低。
如果首先决定最低输入电压(Uimin)对应的导通时间为TonL,最高输入电压(Uimax)的导通时间为

根据式(11)和(12)可以得到开关周期(频率)与不同电压比的关系。
例如,假定导通时间为10μs,1.414Uimin/ Uo=0.65,如果输入电压在±20%范围变化,最低输入电压为220×0.8,输出电压为Uo =1.414×220×0.8/0.65=383V。周期为10/0.35=28.57μs,频率为35kHz。在15°时,周期为12μs,相当于开关频率为83kHz。在最高输入电压时,由式(12)得到最高电压导通时间Tonh=(0.8/1.2)2×TonL=4.444μs,在峰值时的开关周期为T=Tonh/(1-1.414×1.2×220/383)=176μs,相当于开关频率为5.66kHz。
如果我们。输出电压提高到410V,最低输入电压时开关周期为25.45μs,开关频率为39.3kHz。15°时为11.864μs,开关周期为84.5kHz。输入最高电压峰值时,周期为49.2μs,开关频率为20.3kHz。频率变化范围大为减少。即使在输入电压过零处,截止时间趋近零,开关频率约为100kHz。最高频率约为最低频率只有5倍。而在383V输出电压时,却为18倍。
通过以上计算可以看到,提高输出电压,开关频率变化范围小,有利于输出滤波。但是功率管和整流二极管要更高的电压定额,导通损耗和开关损耗增加。因此,220V±20%交流输入,一般选择输出电压为410V左右。110V±20%交流输入,输出电压选择210V。
3. 最大峰值电流
电感中最大峰值电流是峰值电流的1倍

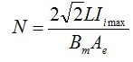
4. 决定电感量
为避免音频噪声,在输入电压范围内,开关频率应在20kHz以上。从以上分析可知,在最高输入电压峰值时,开关频率最低。故假定在最高输入电压峰值的开关周期为50μs.由式(11)求得
由式(12)得到最低输入电压导通时间
根据式(8)得到

5. 选择磁芯
因为导通时间随输入电压平方成反比,因此应当在最低电压下选择磁芯尺寸,只要在最低输入电压峰值时避免饱和。

其中:N-电感线圈匝数;Ae-磁芯有效截面积;Bm《Bs(100)-最大磁通密度,为减少损耗,选择饱和磁感应的70%。
整个窗口铜的截面积

将式(17)代入(16),整理得到

用AP法选择磁芯尺寸。
[p] 6. 计算线圈匝数

7. 线圈导线截面积
例:输入220V±20%,输出功率200W,采用临界连续。假定效率为0.95.
解:输入最大电流为
峰值电流为

设输出电压为410V,最高输入电压时最低频率为20kHz。即周期为50μs,因此,导通时间为

如果采用磁粉芯,选用铁硅铝磁芯。LI2=1.48×3.382×10-3=16.9mJ,选择77439。有效磁导率为60,其电感系数AL=135nH,电感1.48mH需要的匝数为匝 取N=105匝
77439的平均磁路长度l=10.74cm,磁场强度(Oe)为

由图得到磁导率为60,H=21Oe,磁导率下降到90%,为了在给定峰值电流时保持给定电感量,需增加匝数为N匝,选取111匝。
此时磁场强度H=111×21/105=22.2Oe,μ下降到0.88,此时电感量

满足设计要求。最高电压时开关频率提高大约1%。应当注意到这里使用的是平均电流,实际峰值电流大一倍,最大磁场强度大一倍,从图上得到磁导率下降到80%,磁场强度从零到最大,平均磁导率为(0.8+1)/2=0.9,接近0.88。
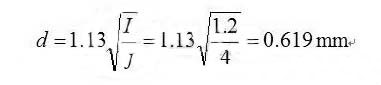
选取电流密度j=5A/mm2,导线尺寸为

选择d=0.63mm,d’=0.70mm,截面积Acu=0.312mm2。
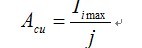
核算窗口利用系数。Aw=4.27cm2,则

77439铁硅铝粉芯外径OD=47.6mm,内径ID=23.3mm。考虑第一层
Nm1=(π(ID-0.5d’-0.05)/1.05d’)-1=96.9 实际96匝。
第二层只要15匝。
射频工程师养成培训教程套装,助您快速成为一名优秀射频工程师...

