- 易迪拓培训,专注于微波、射频、天线设计工程师的培养
LED路灯光学系统的混合型反射罩结构设计
1 传统的路灯照明
目前,用于 路灯 照明的光源类型主要有:金属卤化物灯、白炽灯和高压钠灯等。其中高压钠灯由于其高发光效率、长寿命、强穿透性等优点而被广泛采用。其基本光学结构由光源、反射器及透明灯罩组成。由于光源的光辐射几乎占据整个空间的这个特点,因此需要采用对路灯的光学系统进行配光设计从而达到国家标准路灯灯具的光度参数。通常高压汞灯型路灯的反射器是采用抛物面凹槽进行配光。它能调整使光照明在所需的区域。而采用LED作为新型路灯照明的光源,就需要寻求一种新的配光模型为LED光源配光,以达到路灯照明的光度指标。
2 LED路灯的光学设计思路
2.1 LED路灯光学系统
对于LED路灯的光学结构大致分为两种:投射式和反射式。投射式路灯光学结构通常由旋转抛物线型反射罩和透镜组成,但是单一的这种结构还达不到路灯照明的配光要求,所以必须采用透镜来进行再次配光,如图1a所示,这种方式对反射罩和配光镜之间的配合要求很高,给设计、安装和维护增加了难度。而反射式光学结构,其结构如图1b所示,由于只需对反射罩进行配光设计,所以被越来越多的光学设计者采用。本文也是采用反射式光学结构,并对反射罩进行了混合式结构设计。

图1a 投射式结构图

图1b 反射式结构图
2.2 照明光学计算机辅助设计
照明光学设计属于非成像光学设计,主要是从能量传递规律的角度对光学系统进行研究,基本采用非序列光线追迹,常用的计算照度的方法是采用蒙特卡罗方法。本文采用Tracepm光学仿真软件进行模拟仿真。设计的基本步骤如下:
(1)确定LED光源的数量,建立光源的模型并设置其参数;
(2)建立混合式反射罩结构的三维模型;
(3)确定LED光源的排列方式,并利用光学软件进行仿真;
(4)对仿真结果进行分析,比较仿真结果与道路照明配光要求的差异;
(5)根据仿真结果中的差异或未达到要求的部分,对相应参数进行反复修正,直到满足设计要求。
2.3 混合式结构设计
目前,反射式光学结构已经应用于越来越多的领域,而其难点在于反射器结构的设计,就是如何设计出符合所需要的光学照明配光要深圳市的反射面面型。为了把反射光线定向到指定的照明区域,有两种可能的途径,即光源发出的光线向同侧反射和向对侧反射,分别如图2a和图2b所示。

图2a 同侧反射方式

图2b 对侧反射方式
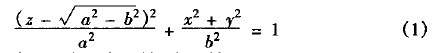
针对所使用LED光源的发光特性和照明范围的要求,本文中采用向对侧反射的方式分别对X方向和Y方向的反射面面型进行了设计,以满足现场道路照明的需求。光源置于椭球的前焦点Fl处,如图3所示是椭球反射面模型。

图3 椭球反射面模型 [p] 椭球反射面的表达方程式为:

式中a、b分别为椭球的半长轴、半短轴。
而图3中的f1,f2分别表示椭球顶点到2个焦点,F1和F2的距离,其表达式如下:

通过调整椭球的长短轴a和b的尺寸,可以改变椭球反射面的半焦距长度,从而可以改变出射光的角度,以确保出射光能照射在所需的照明区域内。
2.4 照度的计算方法
目前采用的照度计算公式通常都是基于如图4的计算模型,其中,ds代表轴上点附近的物面上的微小面积ds',代表轴上点附近像面上的微小面积, U表示物方孔径角、 U'表示像方孔径角,而物面亮度为L像面亮度为L' ,物方ds在立体角U范围内所发出的光通量Φ则可以表示为:
则从出瞳入射到像面微面积出ds'上的光通量φ' 为:
于是可得到像面的照度E' 为:
当物疗空问和像方空间的介质一敛时,像面亮度L '等于物面亮度L与系统透射率τ0的乘积,即:
则(6)式就可以表示为:

图4 照度计算模型示意图
[p] 2.5 LED光源的排列方式
现阶段单颗LED的发光效率有限,要应用于LED路灯照明中,需要将多个LED以一定的形状阵列,出于灯具成本的考虑,在达到照明要求的同时希望采用尽可能少的LED,这就需要找到一种合适的排列方式。而根据LED光源的发光特性及道路照明的基本要求,本文采用10×6的阵列形式,同时对每一列光源进行不同角度的偏转。
2.6 仿真结果
图5是采用光学软件Tracepro进行多次仿真模拟得到的结果。
图5a是照明区域分布模拟效果图,从图中可以看出通过对反射罩的设计和光源排列角度的控制,在给定照明区域内基本形成均匀照明,这样既提高了光源的利用率、减少了光污染、保护了人眼健康,同时又有效的提高了驾驶员对路面情况的辨识。而图5b是照度分布图。
图中范围较宽的曲线表示0度方向(即车辆行驶方向)的照度分布,范围较窄的曲线表示9o度方向的照度分布。从图5b可以清晰的看到,9o度方向E照度分布在121x左右比较均匀,而0度方向上,照度在IOX至141x之间变化:只是在边缘区域小范围内的照度比平均照度偏低,不过还是基本达到了国家标准所要求的照明区域内10X至151x的照度要求。

图5 仿真结果
3 结论
本文针对LED路灯的光学系统进行了混合型反射罩结构的设计,从仿真模拟得到的结果来看,基本达到了照明区域内均匀矩形配光的要求,下一步将继续开展如何提高矩形配光的边界性与照明区域的照度均匀度,并结合大功率LED光源本身的发光特性对反射罩和光源的偏转角度进行优化,从而实现所需的配光设计,或从新型的反射罩结构等角度进行研究与探索。
射频工程师养成培训教程套装,助您快速成为一名优秀射频工程师...
天线设计工程师培训课程套装,资深专家授课,让天线设计不再难...
上一篇:详解PFC电感的计算
下一篇:基于DSP的永磁电机推进系统设计

