- 易迪拓培训,专注于微波、射频、天线设计工程师的培养
一种电视分集天线系统的设计和实现
随着有线电视技术的进步和普及,无线电视传播固有的缺点使得该技术研究处于停顿状态。由于无线电视接收终端相对固定的特点,其研究的难度远比移动通信要容易得多。目前,对无线电视的研究大体可以分3种方案:其一,是放弃原有的模拟体制,采用全新的数字体制,即数字压缩和数字调制及信道、信源编码等新技术。但这需要和新一代数字电视接收机配合推出,且无法和目前的模拟电视机兼容;其二,是在原有模拟体制上进行改进,全面采用第四代移动通信中的分集和频谱压缩等技术。这也需要对电视发射台和电视机进行大的技术改造,不易普及;其三,是在现有模拟体制基础上采用当代通信技术的最新研究成果,如多天线天线技术、低噪声放大技术、频谱处理技术等,使现在大量存在模拟电视机的收视效果提高一个数量级。
1 电视传播信道分析
当前,数字电视技术的发展与普及速度进展缓慢,其主要原因在于其技术过于复杂,也不能与模拟体制兼容,网络改造和使用成本太高。由于电磁环境的恶化及发射设备陈旧,无线电视广播传输质量极大下降,已到了没有有线电视就无法收看电视节目的地步。本研究方案可以充分利用现有模拟电视网络资源,通过技术改造,优化现有无线网络,在模拟与数字过渡期起到很好的桥梁作用。特别是在我国广大农村地区,利用分集技术这种简单高效的收视方式会有很大的市场空间。
无线电视频段的电波传播是通过直射、反射、散射等多种传播方式进行的。接收终端信号的幅度、时延及相位随时随地发生变化,从而使信号的电平起伏不稳定,这些多径信号相互迭加就会形成衰落。也就是看到的电视画面的闪烁、重影等现象。因此,通常定义无线电视传播信道是一种多径衰落信道。
研究表明,无线电视传播信道属于“慢衰落”,这种衰落服从对数正态分布。分集技术是克服多径衰落的一个有效方法。采用这种方法,电视接收机可对多个携带相同信息且衰落特性相互独立的接收信号在合并处理之后进行判决。由于衰落具有频率、时间和空间的选择性,因此分集技术包括频率分集、时间分集和空间分集。
减弱慢衰落宜采用空间分集,即用几个独立天线或在不同场地分别发射和接收信号,以保证各信号之间的衰落独立。由于这些信号传输过程中地理环境不同,因而各信号的衰落各不相同。利用选择合成技术选出信号较强的一个输出,从而大大降低地形等因素对信号的影响。
2 空间分集技术
空间分集:也称天线分集,是通信中使用较多的分集形式,简单的说,就是采用多付接收天线来接收信号,然后进行合并。为保证接收信号的不相关性,这就要求天线之间的距离足够大,这样做的目的是保证了接收到的多径信号的衰落特性不同。在理想情况下,接收天线之间的距离只要波长λ的一半就可以了。
根据信号论原理,若有其他衰减程度的原发送信号副本提供给接收机,则有助于接收信号的正确判决。这种通过提供传送信号多个副本来提高接收信号正确判决率的方法被称为分集。分集技术是用来补偿衰落信道损耗的,它通常利用无线传播环境中同一信号的独立样本之间不相关的特点,使用一定的信号合并技术改善接收信号,来抵抗衰落引起的不良影响。空间分集手段可以克服空间选择性衰落,但是分集接收机之间的距离要满足大于3倍波长的基本条件。
空间分集是利用场强随空间的随机变化实现的,空间距离越大,多径传播的差异就越大,所接收场强的相关性就越小。这里所提相关性是个统计术语,表明信号间相似的程度,因此必须确定必要的空间距离。经过测试和统计,CCIR建议为了获得满意的分集效果,移动单元两天线间距大于0.6个波长,即d>0.61,并且最好选在l/4的奇数倍附近。若减小天线间距,即使小到1/4,也能起到相当好的分集效果。
分集天线把原本无线通信中有害的多径效应变为有用的因素,将多径信号分离出来,使其互不相干,然后通过合并技术再将分离出来的信号合并,获得最大的信噪比收益。常用的合并方法有选择性合并、切换合并、最大比合并、等增益合并等。
3 合并准则
如果接收机中存在多条接收分支,则需要把这些分支所接收的信号进行组合,以获得极大化的信号功率。其实,分集接收的实质就是在接收端如何将得到的这些不相关的信号副本进行组合。
信号的组合方式,如图1所示。

合并后信号r(t)可用下式表示

其中,rk(t)记为第k(k=1,2,…,M)条路径上所收到的信号副本,ak表示其加权系数,r(t)表示最后得到组合信号。为了便于分析和比较分集技术对系数传输性能的影响,需要对系数ak归一化,即满足

若加权系数中只有一个不为零,其他皆为零,且口ak1=1,ak2=0(k1≠k2;k1,k2=1,2,…,M)。这种组合方法为最佳选择合并方式 (OSC,Optimal SelectiON Combining);若不论信号优劣,把所有收到的信号全都叠加起来,即a1=a2……=ak,就得到等增益合并方式(EGC)。若在最短时间内自动调节加权系数ak使得组合信号r(t)的信噪比最高,就得到最大信噪比合并方式(MRC)。
假设每个分支的包络ri的衰弱服从瑞利分布,其平均功率为σ2。定义参数:ωi为每个分支路的瞬时信号功率/平均噪声功率;T为每个分支的平均信号功率/平均噪声功率。显然,根据参数ωi和T的定义,可以定量分析每种分集方式的效果。
4 影响分集增益的基本因素
(1)相关性要求。
分集是否起作用主要取决于各个信号副本之间的相关程度。各个副本之间的相关性越小,分集作用越明显。实际上,分集支路中的信号副本之间不可能呈现为完全不相关。工程上只要两个信号包络的互相关系数≤0.7,对于空间分集,一般要求各个天线的分隔距离大于相干距离;
(2)信号强度要求。
类似于相关性对系统性能的影响,仍以两分支分集系统为例来说明,且假设两分支之间互不相关。由于两分支间完全不相关,所以它们的平均幅度必定不总是相等。基于此,引入表征两分支平均幅度之间关系的参数

其中,△=1表示两分支信号平均幅度相等,而△=0则表示其中一个分支完全消失。
当△较小时,较弱支路几乎全是噪声干扰,但EGC还是将它们与强信号以相同的比例叠加在合并信号中,而OSC方式则只选择了较强支路为输出,所以EGC的性能反倒差一些。因此,实际应用中,选择分集方式时还应估算分支信号的平均幅度。
5 天线放大器
用于天线与馈线间的超高频、宽带、低噪声放大器。用于增强因接收距离太远而造成的较弱信号、补偿天线与电视机间传输距离的损耗以及共用天线系统中保证分配器获得必需的输入功率,以提高接收质量。
为了使每副天线增益达到最佳,通常将VFH和UFH分开接收。天线放大器对接收信号的处理方式有:放大后再混合与混合后再放大两种电路。从字面上看好像似乎没有什么区别,而仅对这几个字的位置加以调换,实际上这两种电路的天线放大器使用效果截然不同。在电视信号较强的地方,放大后再混合的天线放大器明显优于混合后再放大的天线放大器。理由是混合后再放大的天线放大器,其放大集成电路因工作频带过宽和强弱信号差别过大,易使其进入非线性状态,而造成强信号干扰弱信号。文中给出前一种放大器的电路图,工作原理,如图2所示。

放大一混合方式的天线放大器的电路图,如图2所示。1~12频道电视信号在VHF输入端输入,由L1,C1,L2组成一个简易低通滤波器,滤除12频道以后的电视信号,送到IC1信号输入端进行约20 dB的放大,被放大的电视信号经电容C3输出,通过L3,C4,L4低通滤波器与UHF信号相混合后输送到电视信号输出端。另一路UHF输入端输入的 13~57频道电视信号,由C5,L5,C6组成简易高通滤波器,只允许UHF频段的13频道及以后频道的信号通过,再加到IC2信号输入端进行约20 dB的放大,输出后通过高通滤波器(C7,L6,C8)与VHF电视信号相混合后送TV OUT端。该电路的电源由变压器T降压、U1整流、C14滤波、IC3稳压后供给放大器LED1和R1为电源指示电路。
6 非线性自适应盲算法及合并原理
自适应过程是一个不断逼近目标的过程。它所遵循的途径以数学模型表示,称为自适应算法。通常采用基于梯度的算法,其中最小均方误差算法(即LMS算法)尤为常用。自适应算法可以用硬件(处理电路)或软件(程序控制)两种办法实现。前者依据算法的数学模型设计电路,后者则将算法的数学模型编制成程序并用计算机实现。算法有很多种,它的选择很重要,它决定处理系统的性能质量和可行性。
对于无线通信而言,在移动通信方面,基站智能天线已做了大量研究,许多成果已得到应用。但对无线移动终端智能天线的研究却进展缓慢。这主要是因为:移动终端体积有限,使得移动终端的天线数目不可能太多,天线尺度也不可能太大。而且要考虑终端的移动性,所以天线方向图尽可能全向。在移动终端操作成本和复杂性是首要考虑的问题之一。另外,在移动终端,自适应信号处理的算法要求快速。这就要求简单的计算和简单的硬件处理,制约了终端的性能的提高。在电视接收机上,采用自适应天线,就可以很好地抑制干扰,并提高通信链路的质量。如图3所示,自适应算法是一个非线性的自适应盲算法,无需空间信号或导频信号的先验知识作为训练序列,保证算法简单。


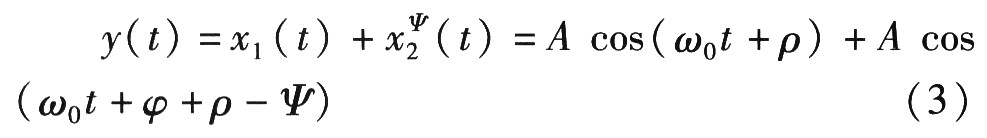
设两个天线单元空间间隔为d,第一个单元作为参考。假设一个信号从侧面以角度θ到达参考天线,则参考天线接收到的信号为

其中,A是幅值,ω0是中心角频率,ρ是0~2π的随机变量。天线单元2收到的信号为

其中,ψ=2πdsinθ/λ,表示两单元间由于几何结构造成的相位差。θ的取值在-π/2≤θ≤π/2。第二个天线单元有—全反馈回路,输出结果中相移调整ψ,则

其中,α=ψ-φ,表示ψ和它的最佳值的偏差。另外,输出功率归一化为

显然,当α=0时,P(α)达到最大。这就充分说明,通过调整α的值能使得输出功率最大。引入迭代算法来达到输出功率最大。将时间离散化,则相移迭代为

7 结束语
空间分集已成功应用于新一代移动通信中,而且其中的一些技术可以移植到无线电视传输领域。目前在模拟体制下,如何运用分集天线及进行有效合并,如何最大限度提高接收信噪比,特别是在发射端运用空间分集和频率分集等手段有效提高电视传输质量,都是值得研究的课题。相信在固定状态下,无线电视传输方式也将获得更多的进步与发展。
射频工程师养成培训教程套装,助您快速成为一名优秀射频工程师...
天线设计工程师培训课程套装,资深专家授课,让天线设计不再难...
上一篇:LED在指示灯中的应用
下一篇:嵌入式系统平台在户外LED大屏幕显示控制领域的应用

