- 易迪拓培训,专注于微波、射频、天线设计工程师的培养
基于Matlab/Simulink/Dsp的厢式半挂车实时道路仿真
一、动力学模型
研究分析的对象为整个厢式半挂车的挂车部分,其副车架为双轴。由于车身振动较小,忽略其横向水平振动,而着重考察对平顺性影响较大的垂直振动和纵向角振动。挂车簧下质量的振动是高频振动,可以认为左右车轮的输入是独立的,不考虑其相互影响。假设厢式半挂车车辆左右对称且左右轮的路面激励相同,并作如下假设:(1)将车身视为具有集中质量的刚体;(2)牵引板与牵引座之间刚性连接,并用线性弹簧代替悬架,悬架刚度与阻尼分别是位移和速度的一次函数;(3)将牵引车后轴,副车架前后轴及车轮简化为非簧载质量,用线性弹簧代替弹性轮胎,建立6自由度(用z1~z6表示)半挂车空气弹簧动力学模型,q1、q2、q3 表示路面激励,如图1所示。符号含义及具体使用参数见表1。
表1 半挂车的动力学简化模型参数
计算中模型的悬架系统的刚度和阻尼系数与轮胎刚度和阻尼系数均取左右两侧之和。
二、数学模型
(一)微分方程
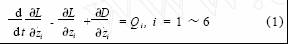
根据给出的动力学模型,利用拉格朗日方程建立数学模型,其通式为

式中L为拉格朗日函数,L=T-V,其中T为系统动能,V为系统势能;D为系统的耗散能;Q为系统的广义力。
具体各项的表达式如下:
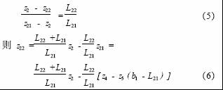
副车架前悬架后支撑位移z22的计算要考虑悬架前支撑位移z21的影响和前悬架质量块m2位移z2的综合影响,根据几何关系有
同理可以得到副车架后悬架后支撑位移Z32。
将式(2)~式(4)代入式(1)得到
式中
分别为位移、速度和加速度列向量。
M、C、K分别为质量、阻尼和刚度矩阵。Q为路面激励力的列向量,文中假设轮胎阻尼为0,则 。 [p]
(二)状态方程
将微分方程转换成状态空间下的方程,即
式中x是半挂车的状态向量,12个分量分别表示6个自由度处的位移和速度;u是输入向量,表示车辆处的路面位移激励;y为输出向量,设置为6个自由度处的位移和速度;A为系统矩阵;C为输出矩阵,设置为一个12阶的单位矩阵;D为控制矩阵,由于没有直接输入对象,设置其为3×12阶的O矩阵。
三、仿真模型
建立的微分方程及状态方程要进行多次计算并对结果进行各项分析处理,工作量非常大。用Mat2lab所具有的功能,将其转化到Matlab/Simulink/Dsp环境下,从而进行直观有效的分析。
在 Matlab/Simulink环境下,一般用基本方框图的数学运算关系连接系统的搭建。考虑到本模型状态方程的特殊性,采用直接应用状态方程模块的方法进行仿真,只需将微分方程的参数代入,设置并添加必要的激励和输出显示等环节即可仿真。为了体现计算的实时性,多数结果数据和曲线可以直接从实时仿真模型中看到,而无需再处理,具有很好的实时性。
为了便于与试验对比,以验证模型的正确性,将簧上质量的垂直振动和纵向角振动转化为前后轴上方底板处的垂直振动,同时对加速度信号求自功率谱密度及加速度均方根值,以便于研究分析。由于模型较大,建立了几个子系统。
(一)时域输入部分
用于随机路面输入的信号可以用两种方法获得,一种是根据有理函数标准谱的输入方法模拟时域信号,另一种是直接利用获得的道路时间历程信号。图2、图3中输出 1、输出2和输出3分别作为牵引销处、副车架前轴、副车架后轴处的时域输入。两种不同来源的信号输出模块的内部处理结构分别如图2、图3所示。
实测得到的是加速度时间历程,需要进行二次积分并用高通滤波将趋势消除,才能取得随机位移。
滤波边界频率取0.5~1.0Hz,能够获得很好的效果。
(二)核心计算部分
核心计算部分模型如图4所示。
图4 核心计算部分
为了获得加速度输出信息,对输出的速度进行微分计算,并根据几何关系换算对应位置的量值。 [p]
零阶保持器和单位延迟模块主要是将连续系统的输出结果离散化并进行采样统计分析或者频谱分析。
(三)最终模型
最终的分析系统模型如图5所示。在整个模型建立中,主要使用Simulink库中的Band2LimitedWhiteNoise、Sum、 Integrator、Gain、Transport Delay、Mux、State2Space、Demux、Derivative、Scope等模块以及DSP block set库中的Buffer、Rms、Yule Walker Method、Short Time Spectrum、Power Spectral Density等模块。系统模型的外部模块主要实现实时加速度均方根值计算和PSD功率谱密度曲线在线输出显示等。
四、仿真与试验结果对比
(一)道路试验情况
试验在不同等级路面上进行,车辆参数选取与仿真一致,为满载20t的厢式半挂车。车辆匀速行驶过程中,采用LMSDIFA数据采集前端,实时提取粘贴在车架上的ICP加速度传感器信号,最后用LMS Testlab测量分析软件进行数据实时分析和存储。数据处理可以得到各级路面下的加速度均方根值等评价参数,为对比分析与设计提供有益的参考。
为使测量的相对标准偏差小于012,记录的时间历程数据总长度需满足平均次数Nd>25次的要求。
(二)结果对比
输入满载行驶时厢式半挂车的结构性能参数以及路面参数,通过Scope和Display模块可以看出该车各个自由度处的垂直加速度时间历程与均方根值。仿真选用与试验一致的参数,如表2所示。其中α为常数,是所选路面的空间频率;ρ为常数;v为车速。
表2 路面参数
以C级路面下实车测试与仿真计算的加速度均方根值为例,给出结果如表3所示。
表3 随机路面加速度输出响应
从表3结果来看,仿真模型响应计算结果与实车试验结果比较接近,二者在误差允许范围内是一致的,说明该模型作为初步的模拟和预估是可行的,应由此可见路面的模拟也是切实有效的。产生误差的重要原因是本模型自由度较少且空气弹簧的非线性阻尼和刚度的影响较大,同时路面使用情况较为复杂,不完全符合等级要求。
五、结论
建立基于系统仿真软件Matlab/Simulink/Dsp的厢式半挂车实时道路仿真模型,通过实车试验,验证了模型的可靠性。为空气悬架等部件在半挂车设计与匹配中的应用提供了有利的工具,并可作为脉冲输入试验等其他动力学试验的仿真使用。
通过计算结果分析,设计者可以明确悬架参数对于厢式半挂车动态响应的影响,改进设计系统中的关键参数,以获得更好的动态性能。利用可靠的仿真模型,重现相同条件下的仿真试验,可以检验并优化空气悬架等部件参数,从而缩短开发设计周期,节约成本。
射频工程师养成培训教程套装,助您快速成为一名优秀射频工程师...

