- 易迪拓培训,专注于微波、射频、天线设计工程师的培养
新型RFID阅读器接收电路设计
阅读器主要由控制单元、高频收发模块、天线以及其他与后台设备相连的接口组成。应答器,又叫作标签,是RFID读取数据的来源,主要由天线和微电子芯 片组成。RFID系统的关键部分是阅读器,实现阅读器的核心技术是接收电路。本文主要分析和构造了UHF无源RFID阅读器接收电路。
1 基本架构
组成RFID阅读器的电路结构如图1所示,其上半部分为发射链路,而其下半部分为接收链路。
采用UHF频段的阅读器首先针对基带信号实施PIE编码,同时实施80%~100%ASK调制过程。在接收电路部分需支持PSK或ASK形式的解调,同时可以实施对基带信号的米勒或FM0副载波解码。系统的发射信号如下:

式中:f(t)代表标签接收的信号;m(t)代表基带信号;载波频率则用ωc表示。
而在标签反向散射过程中,接收端接收到信号如下:

式中:g(t)表示接收端接收到的信号;m’(t)表示标签端基带信号。
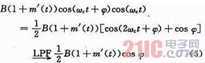
最终在接收电路中进行下变频,解调过程和结果如下:

式中:代表通过低通滤波器后的结果。
图1中的环行器隔离器件,通常能够实现20~30 dB的隔离效果。此外,利用两个独立的天线分别负责接收与发射的任务,也能够实现较好的隔离效果。需 要注意的是,在接收过程中,一定要同时发射同频载波,所以能得出以下结论,系统中的噪声分以下几种:周围环境因素干扰噪声,发射端耦合接收端的同频泄漏以 及电子器件自身噪声,此外还需关注器件接口间的损耗。

依据雷达方程:

式中:Pr,Pt分别表示接收与发射功率;Gt表示发射增益;Ar表示接收天线的面积;Σ表示雷达截面积;Rr,Rt分别表示接收与发射路径长度。
根据雷达方程,能推导得出对数形式的通信方程,如下所示:

也就是说,接收功率等于发射天线增益、发射功率以及接收天线增益之和,再减去系统损耗、空间损耗,所以空间损耗Lc可以用如下算式得出:

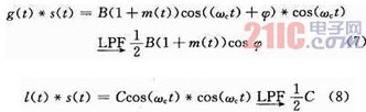
如果无调制载波是f(t)=Acos(ωct),标签发射的信号是g(t)=B(1+m(t))cos(ωct+φ),而且环行器发射端至接收端的泄漏 (即TX—RX Lea-k)和f(t)有关联,是l(t)=Ccos(ωct);s(t)=cos(ωct)表示时钟信号,那么l(t),g(t)分别 和s(t)混频之后结果如下:

由功率的比较可以得知,系数C,即TX-RX Leak解调之后的幅度远大于标签返回信号的幅度,且可以看出是一个很大的直流分量,所以解调过程中产生 的直流偏移是一个棘手的问题。因此可以得出结论,发射端耦合到接收端的周频泄漏是最主要的干扰,如何抑制这种干扰则需进一步的研究。对抑制干扰的方法研究 较多,各解决方案也不尽相同。通过式(3)及式(7)能够看出,系统接收到的信号与时钟信号具有特定的相位差φ,因为标签的位置不同,cosφ也会随之变 化,所以在接收电路中,使用正交结构。
2 系统仿真与理论验证
实施 Simulink仿真,构造了系统收发链路的结构,如图2所示。图2中上半部分为标签接收信号与发射链路,下半部分为环行器收发耦合信号和标签返回信号相 互叠加的结果,并在接收端实施下变频过程。根据ISO18000-6C协议标准,标签返回信息使用Miller副载波调制或FM0编码调制,再实施ASK 调制,在仿真环境里使用重复的“1101001101”序列的FM0编码。因为Miller编码或FM0编码的频谱具有较小的直流分量特性,因此在滤波 时,把它和下变频过程中生成的较大的DC直流漂移过滤掉。如果阅读器至标签距离为1 m,经计算空间损耗是18 dB,其中环行器隔离度可设置成 20 dB。

经过接收机解调之后,获取的标签返回信息时域波形如图3所示,上下两个波形分别表示标签端发射的基带信息,以及接收机解调后信息。图4表示的是在接收链路中,滤除DC前后的信号频谱,上图为滤除DC后的信号频谱,而下图为滤除前的频谱,其含有较大的DC分量。

图4中能够看到,需要在接收机混频器后端,插接一个可以过滤直流的滤波器,由于对FM0信号的完整性没有影响,所以可以满足系统需求。同时可以看出,因为环行器反向泄漏等影响,造成接收端的收发同频干扰比较大,容易导致接收机阻塞。
3 结语
综上所述,本文基于ISO18000-6C协议,研究设计了UHF RFID阅读器接收电路,并对于零中频接收结构实施了理论分析,对其优缺点也进行了分析。通过仿真,得出零中频结构的信号波形和频谱特性,能够看出其可以实现RFID系统的要求。
如何成为一名优秀的射频工程师,敬请关注: 射频工程师养成培训
上一篇:电磁干扰形成的三要素
下一篇:手机辐射骚扰及传导骚扰的解决办法

