- 易迪拓培训,专注于微波、射频、天线设计工程师的培养
射频功率放大器的新型预失真器的设计
0 引 言
射频功率放大器是距离最靠近发射天线的重要一环,被广泛应用与各种无线发射设备中。射频功率放大器的指标主要有: 线性度、效率、噪声系数等, 其中最关心的是其线性度和效率。随着无线用户数目的增多,宽带通信业务的发展,通信频段变得越来越拥挤, 为在有限的频谱范围内容纳更多的通信信道, 需采用频谱利用率更高的调制技术。但由于放大器的非线性, 信号的包络波动会产生非线性失真。这就对射频功率放大器的线性度提出了更高的要求。
传统的改善射频功率放大器非线性失真的方法有: 前馈、负反馈和预失真。前馈线性化技术需要额外的辅助功率放大器和较复杂的控制电路且体积大、价格昂贵。负反馈技术的方法降低了放大器的增益, 且只能使放大器在很窄的频带内稳定工作,仅适用于窄带通信系统。预失真技术是目前最常用的线性化技术之一。
其电路实现简单、工作稳定、成本低、工作频带宽、易于集成且直流功率高。本文将介绍一种新型预失真器的设计方案, 并运用ADS2008U1 对电路进行仿真分析。结果表明, 该方案能够很好地改善功率放大器的非线性失真。
1 预失真线性化技术的工作原理
预 失真是在功率放大器前端增加一个非线性电路用于补偿功率放大器的非线性失真, 基本原理如图1 所示。预失真器实质上就是一个非线性发生器, 通过控制非线性发生器, 使其输出与射频放大器的非线性特性在幅度上相同、相位上相反,来抵消射频功率放大器的非线性, 从而提高功放的线性度,使功放获得线性化输出。根据预失真器所处的位置, 可将预失真技术分为射频预失真、中频预失真和基频预失真三类, 本文主要讨论射频预失真技术。
图1 预失真原理图。
传统的预失真技术的原理框图, 如图2 所示。
图2 传统预失真方法图示。
它 的不足之处在于, 当输入信号进入预失真器之后, 在其输出端不仅有用来补偿射频功放非线性特性的非线性失真信号, 而且还有残余的基频分量, 根据预失真技术的原理可知,这部分残余基频信号是与射频功放中的基频信号相位相反的。故在改善功放非线性特性的同时, 其输出功率也受到一定程度的削弱。
2 新型预失真器的设计
本文采用一种电桥形式的同向平行二极管对预失真器,预失真模型见图3。
图3 预失真器模型。
2. 1 预失真器模型
用90电桥网络来完成信号的处理和匹配功能, 电桥0通路上的电容可补偿二极管对的电抗分量, 弥补相位失真。采用90电桥还可以保持输入/ 输出阻抗特性的良好匹配。
2. 2 非线性输出分析
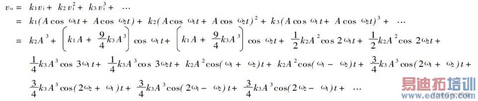
设在预失真器输入端加等幅的双音信号vi :![]()
式中: A 为双音信号的幅度; 1 , 2 为双音信号的频率。
设预失真器的非线性传输系数为y = f ( x ) , 输出为vo ,即vo = f ( vi) 。将其展成幂级数形式为:
由上式可知: 在预失真器的输出信号中, 不仅有基频信号, 还有各次谐波及各种交调信号。其中, 需要的是三阶交调失真分量,这里产生的基频分量对设计来说可称为“干扰信号”, 必须设计电路将此基频信号消除。
2. 3 新型预失真器的设计
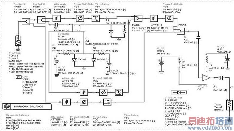
针 对预失真器输出端有系统不需要的基频信号的问题, 在此将设计一种新型的预失真器, 用于消除该基频信号, 电路原理图见图4。输入的等幅双音信号由3 dB功分器等分成两路,一路信号进入预失真器, 另一路信号由延迟器延迟后, 进入增益/ 相位调节器。延迟主要为了让进入增益/ 相位调节器的信号与进入预失真器的信号同步。其中, 增益/ 相位调节器由可调衰减器和可调移相器级联而成, 其作用是为了得到具有适当幅度和相位的基频信号。此外, 预失真器的输出端将包含基频在内的一系列非线性失真分量,经适当延迟后, 与增益/ 相位调节器的输出信号一起被送进功率合成器。通过控制衰减器的衰减量和移相器的相位来产生与预失真器输出信号中所包含的基频信号具有相同幅度、相反相位的 信号,用来抵消预失真器所产生的基频分量。在功率分配器输出端得到的信号就是需要的三阶交调失真信号。
图4 带消基频的预失真器电路。
2. 4 预失真器仿真分析
在安捷伦公司的ADS2008U1 中完成电路仿真模型的搭建, 仿真电路如图4 所示加入等幅双音信号, 其频率分别为940 MHz 和950 MHz。对电路进行谐波平衡( HB) 仿真分析, 得到预失真器输出信号频谱如图5, 图6 所示。
图5 传统预失真器输出频谱。
图5 为传统预失真器的仿真结果, 图6 为加了消基频电路后的仿真结果。经比较可看出加了消基频电路之后,预失真器输出端的信号中基频分量减少了40 dBc。
图6 改进后的预失真器输出频谱。
3 预失真功率放大器的设计与仿真
3. 1 设计指标及预失真功放电路的搭建
预 失真器射频功率放大器的性能指标: 工作频段为900 MHz~ 1 GHz; 输出功率大于等于13. 4 dBm; 三阶交调改善大于等于40. 2 dBc。仿真时使用的是一个封装好功放模块,该模块内包含功率管MRF9742 和直流偏置电路及输入/ 输出匹配电路等,预失真功放电路如图7 所示。
图7 预失真射频功放电路。
3. 2 射频功放仿真结果
仿真结果如图8, 图9 所示。
图8 没加预失真器的PA 输出频谱。
图9 加预失真器后的PA 输出频谱。
其中图8 是没加预失真器时功放的输出频谱, 图9是加了预失真器后的功率放大器的输出频谱。
4 结 论
本 文设计了一种带消基频的预失真器, 并把此预失真器用于改善射频功率放大器的非线性失真。仿真结果表明, 利用本文设计的预失真器可明显补偿传统预失真器的不足,并且可以抑制射频功率放大器的三阶交调失真分量达40 dBc 以上。本文有待改进之处在于, 可以利用自适应方法来控制电路中可调移相器和衰减器,通过检测输出信号中的三阶交调失真分量的比例, 自适应地调节衰减器和移相器,这样可以更好地改善射率放大器的非线性失真。
如何成为一名优秀的射频工程师,敬请关注: 射频工程师养成培训
上一篇:高集成RF调谐器应对移动电视技术
下一篇:RFID在生产线监控中应用

