- 易迪拓培训,专注于微波、射频、天线设计工程师的培养
基于DSP的软件无线电基频发射机的设计与仿真
录入:edatop.com 点击:
引言
软件无线电突破了传统的无线电台以功能单一、可扩展性差的硬件为核心的设计局限,强调以开放性最简硬件为通用平台,尽可能地使用可升级、可重配置的应用软件来实现各种无线电功能。用户在同一硬件平台上可以通过配置不同的应用软件来满足不同时间、不同环境下的不同功能需求,具有很强的灵活性和开放性。
DSP(数字信号处理器)凭着灵活性、精确性、稳定性、可重复性、体积小、功耗小、易于大规模集成,特别是可编程性和易于实现自适应处理等特点,给数字信号处理带来了巨大的发展机遇。
基于上述优点,用DSP实现基于软件无线电技术的基频发射机,不仅降低了产品的成本,减小了设备体积,满足系统的需要,而且随着DSP处理速度的不断提高,可将内插等复杂运算集成到DSP中,完全由软件实现,比现有的单芯片发射机具有_更大的灵活性和可控性。在资源充足条件下,可以实现多通道信道化。
1 理论基础
1.1 正交变换理论
正交变换分解在信号处理中有着极其重要的作用,是软件无线电的基础理论之一。由于希尔伯特(Hilbert)变换可以提供90°的相位变化而不改变频谱分量的幅度,即对信号进行希尔
伯特变换就相当于对该信号进行正交移相,使它成为自身的正交对。
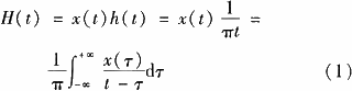
实信号x(t)的希尔伯特变换定义为x(t)与h(t)=1/(πt)的卷积,表示为:

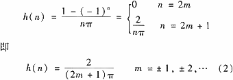
在DSP中处理的是离散的数字信号,由此离散希尔伯特变换中的h(n)可以表示为:

则离散信号x(n)的离散希尔伯特变换可以表示为:

由此可见,离散希尔伯特变换器可以由FIR(有限冲击响应)滤波器来实现,可以用窗口法来设计FIR滤波器实现希尔伯特变换。利用矩形窗设计的55阶FIR滤波器幅频响应如图1所示。

但要注意的是,利用FIR滤波器实现希尔伯特变换将会使输出信号延迟N/2(N为滤波器系数长度),而且输出信号的前N个数据和最后N个数据也是不对的,因为此时输入数据已经为0。
1.2 内插理论
所谓整数I倍内插是指在两个原始采样点之间插入(I-1)个零值,若设原始采样序列为x(n),则内插后的序列xI(m)表示为:

内插过程如图2所示,其为I=3倍的内插,可见图2(b)中每个原抽样点之问插入了2个零值。内插后的信号频谱为原始序列谱经I倍压缩后得到的谱。因此,要恢复原始频谱,必须对内插后的信号进行低通滤波(滤波器带宽为π/I)。经过低通滤波后的波形如图2(c)所示。可见,原来插入的零值点变为的准确值,经过内插大大提高了时域分辨率。

2 基频发射机的仿真系统设计
2.1 基频发射机的模型
给定一种调制方式,就可以计算出与其相对应的两个正交分量。一般情况下,基频发射机输出信号的采样率要大于最高载频的2倍以上,但基带正交信号的采样率并不需要如此高速的数据流,只要输出大于2倍信号带宽的数据流就可以,否则将会对DSP处理速度提出过高的要求。但是,为了使产生的基带信号与后边的采样速率相匹配,在进行正交调制(与两个正交本振混频)之前必须通过内插把低数据率的基带信号提升到最终采样频率上。因此,适应于各种调制方式的基频发射机模型如图3所示。

2.2 基频发射机的仿真系统设计
假设输入信号为语音信号,基带信号的带宽为B=4 kHz,对其进行频率为fs1=20 kHz的采样并进行正交化。混频频率fc=40 kHz,对cos 2πfct与sin 2πfct的采样率为fs3=400 kHz,因此内插比I=fs3/fs1=20,为了减少内插抗混叠滤波器的系数长度,减小抗混叠滤波器的实现难度,采用2级内插实现,第1级实现I1=4倍内插,第2级实现I2=5倍内插。内插抗混叠滤波器采用凯撒窗的FIR滤波器实现,其中δ=δp=δs=0.001,分两级实现后,每一级δ1=δ2=30 dB,这样大大简化了抗混叠滤波器的结构。实现结构如图4所示。

3 仿真结果及分析
基频发射机的仿真结果如图5所示。

基频发射机的仿真实现是利用TI公司推出的DSP集成软件开发环境CCS(Code Composer StudioV3.0)进行的,在CCS中配置为TMS320C6713。TMS320C6713是TI公司在TMS320C6711基础上新近推出的C6000系列新一代浮点DSP芯片,它可以在255 MHz的时钟频率下实现1 800 MIPS(百万条指令每秒)/1 350 MFLOPS(百万次浮点运算每秒)的定点和浮点运算,可以满足高速数据采集和实时控制系统对信号处理速度的要求。
为了方便验证CCS仿真实现的正确性,取输入信号为f=3 kHz的单频余弦信号,如图5(a)所示;经正交变换后为同频的正弦信号,如图5(b)所示;经基频发射机调制后,输出结果相当于单边带调制,为单频f=37kHz的余弦信号,如图5(c)所示,其频谱如图5(d)所示,可见实现结果正确。
4 结束语
本文对单信道的基频发射机进行了CCS仿真实现,证明基于软件无线电技术和DSP实现基频发射机具有更大的优越性。但由于目前DSP处理速度的限制,采样率不宜过高,因此限制了输出射频的提高。本文所讨论的基于DSP基频发射机的实现为构建真正意义上的软件无线电发射机提供了前提条件,后续工作将研究其DSP的具体实现。
软件无线电突破了传统的无线电台以功能单一、可扩展性差的硬件为核心的设计局限,强调以开放性最简硬件为通用平台,尽可能地使用可升级、可重配置的应用软件来实现各种无线电功能。用户在同一硬件平台上可以通过配置不同的应用软件来满足不同时间、不同环境下的不同功能需求,具有很强的灵活性和开放性。
DSP(数字信号处理器)凭着灵活性、精确性、稳定性、可重复性、体积小、功耗小、易于大规模集成,特别是可编程性和易于实现自适应处理等特点,给数字信号处理带来了巨大的发展机遇。
基于上述优点,用DSP实现基于软件无线电技术的基频发射机,不仅降低了产品的成本,减小了设备体积,满足系统的需要,而且随着DSP处理速度的不断提高,可将内插等复杂运算集成到DSP中,完全由软件实现,比现有的单芯片发射机具有_更大的灵活性和可控性。在资源充足条件下,可以实现多通道信道化。
1 理论基础
1.1 正交变换理论
正交变换分解在信号处理中有着极其重要的作用,是软件无线电的基础理论之一。由于希尔伯特(Hilbert)变换可以提供90°的相位变化而不改变频谱分量的幅度,即对信号进行希尔
伯特变换就相当于对该信号进行正交移相,使它成为自身的正交对。
实信号x(t)的希尔伯特变换定义为x(t)与h(t)=1/(πt)的卷积,表示为:

在DSP中处理的是离散的数字信号,由此离散希尔伯特变换中的h(n)可以表示为:

则离散信号x(n)的离散希尔伯特变换可以表示为:
由此可见,离散希尔伯特变换器可以由FIR(有限冲击响应)滤波器来实现,可以用窗口法来设计FIR滤波器实现希尔伯特变换。利用矩形窗设计的55阶FIR滤波器幅频响应如图1所示。

但要注意的是,利用FIR滤波器实现希尔伯特变换将会使输出信号延迟N/2(N为滤波器系数长度),而且输出信号的前N个数据和最后N个数据也是不对的,因为此时输入数据已经为0。
1.2 内插理论
所谓整数I倍内插是指在两个原始采样点之间插入(I-1)个零值,若设原始采样序列为x(n),则内插后的序列xI(m)表示为:

内插过程如图2所示,其为I=3倍的内插,可见图2(b)中每个原抽样点之问插入了2个零值。内插后的信号频谱为原始序列谱经I倍压缩后得到的谱。因此,要恢复原始频谱,必须对内插后的信号进行低通滤波(滤波器带宽为π/I)。经过低通滤波后的波形如图2(c)所示。可见,原来插入的零值点变为的准确值,经过内插大大提高了时域分辨率。

2 基频发射机的仿真系统设计
2.1 基频发射机的模型
给定一种调制方式,就可以计算出与其相对应的两个正交分量。一般情况下,基频发射机输出信号的采样率要大于最高载频的2倍以上,但基带正交信号的采样率并不需要如此高速的数据流,只要输出大于2倍信号带宽的数据流就可以,否则将会对DSP处理速度提出过高的要求。但是,为了使产生的基带信号与后边的采样速率相匹配,在进行正交调制(与两个正交本振混频)之前必须通过内插把低数据率的基带信号提升到最终采样频率上。因此,适应于各种调制方式的基频发射机模型如图3所示。

2.2 基频发射机的仿真系统设计
假设输入信号为语音信号,基带信号的带宽为B=4 kHz,对其进行频率为fs1=20 kHz的采样并进行正交化。混频频率fc=40 kHz,对cos 2πfct与sin 2πfct的采样率为fs3=400 kHz,因此内插比I=fs3/fs1=20,为了减少内插抗混叠滤波器的系数长度,减小抗混叠滤波器的实现难度,采用2级内插实现,第1级实现I1=4倍内插,第2级实现I2=5倍内插。内插抗混叠滤波器采用凯撒窗的FIR滤波器实现,其中δ=δp=δs=0.001,分两级实现后,每一级δ1=δ2=30 dB,这样大大简化了抗混叠滤波器的结构。实现结构如图4所示。

3 仿真结果及分析
基频发射机的仿真结果如图5所示。

基频发射机的仿真实现是利用TI公司推出的DSP集成软件开发环境CCS(Code Composer StudioV3.0)进行的,在CCS中配置为TMS320C6713。TMS320C6713是TI公司在TMS320C6711基础上新近推出的C6000系列新一代浮点DSP芯片,它可以在255 MHz的时钟频率下实现1 800 MIPS(百万条指令每秒)/1 350 MFLOPS(百万次浮点运算每秒)的定点和浮点运算,可以满足高速数据采集和实时控制系统对信号处理速度的要求。
为了方便验证CCS仿真实现的正确性,取输入信号为f=3 kHz的单频余弦信号,如图5(a)所示;经正交变换后为同频的正弦信号,如图5(b)所示;经基频发射机调制后,输出结果相当于单边带调制,为单频f=37kHz的余弦信号,如图5(c)所示,其频谱如图5(d)所示,可见实现结果正确。
4 结束语
本文对单信道的基频发射机进行了CCS仿真实现,证明基于软件无线电技术和DSP实现基频发射机具有更大的优越性。但由于目前DSP处理速度的限制,采样率不宜过高,因此限制了输出射频的提高。本文所讨论的基于DSP基频发射机的实现为构建真正意义上的软件无线电发射机提供了前提条件,后续工作将研究其DSP的具体实现。

