- 易迪拓培训,专注于微波、射频、天线设计工程师的培养
高增益高线性度CMOS偶次谐波混频器设计
混频器是无线收发机中的核心模块, 对整个系统的性能具有很大影响。线性度、转换增益是衡量一个混频器性能的重要指标。
在接收机中, 混频器具有一定的转换增益可以降低混频器后面各级模块设计的难度, 有利于提高系统噪声性能和灵敏度。线性度决定了混频器能处理的最大信号强度。随着现代通讯系统对性能要求越来越高, 无论是应用于接收机系统的下变频器(本文指的混频器) , 还是应用于发射机系统中的上变频器都要求具有较高的线性度。因此设计具有高增益和高线性度的混频器就成为业界一直研究的热点。
在CMOS电路设计中, 电流复用和电流注入技术常被用于提高电路的线性度和转换增益。然而,电流注入技术只能增大转换增益, 却不适用于低功率应用, 因为注入的电流必须足够大才能使转换增益和噪声系数达到比较好的指标。本文采用了电流复用技术和本振信号偶次谐波的方法设计了一种高增益高线性度混频器。
1 电路设计与分析
1. 1 电路结构
对大多数的接收机拓扑结构(如图1) 来说, 由于本地振荡信号通路与射频信号通路之间通过寄生电容或者衬底等方式耦合, 可能造成本地振荡信号的泄漏。其中一条通路是本振( LO)信号泄漏到中频( IF)输出端, 另一条通路是LO 信号不仅通过并联电容耦合直接进入混频器, 而且泄漏到LNA 的输入端并被LNA 放大后进入混频器的输入端, 被放大的LO 泄漏信号和耦合的LO 信号一起注入到混频器的输入端并直接下变频到IF, 这就会造成零中频接收机系统的直流偏移干扰有用信号。同时, 直接泄漏到中频端口的本振信号减小IF 信号的动态范围。这种由耦合方式造成的效应可以通过偶次谐波混频器来改善。
一般接收机的拓扑结构
图1 一般接收机的拓扑结构
为此, 本文设计的混频器采用了如图2所示的拓扑结构。这个结构中采用了本振倍频电路和电流复用电路分别提高了端口的隔离度以及电路的转换增益和线性度。由于LO 信号是差分输入, 在两个差分管完全一致的情况下, 在节点A 处将形成一个对交流信号的虚地点, 即LO 信号在A 点短路, 从而提高了混频器的隔离度。同时, LO管使用短沟道管时, 这种差分对管在节点A 处得到LO 倍频信号, 后面将会详细分析。因此, RF信号与LO 信号的二次谐波信号进行混频且f IF = |fRF - 2fLO |。使用本振二次谐波的方法将不会产生LO 信号泄漏, 同时LO 信号的频率将是使用基波混频器的一半, 大大降低了本地振荡器设计的难度。该结构中电感LE 的使用, 增大了进入混频的LO 信号二次谐波的幅度, 有助增大线性度,也降低了噪声系数, 同时该电感作为推挽通路的增强, 扩展了电流复用电路的动态范围。该混频器的中频输出端接源跟随器做为输出缓冲电路。
偶次谐波混频器拓扑结构
图2 偶次谐波混频器拓扑结构。
1. 2 电流复用电路分析
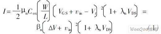
射频输入端使用的电流复用结构如图2 中MRFP1和MRFN 1以及MRFP2和MRFN2所示, 两路结构完全对称, 该结构的跨导为gm = gm p + gmn, 其中gmp为晶体管MRFP1和MRFP2跨导, gm n为晶体管MRFN 1和MRFN 2的跨导。因此, 采用电流复用结构增大了跨导级的跨导, 从而实现了混频器的高增益性能。
根据沟道长度效应, 跨导管电流表达式为:
这里, n 是跨导参数, vin是输入信号, !V = VG S - Vt是过驱动电压, n 是沟道长度调制系数, Vt 是阈值电压。根据( 1)式可得输出电流:
从( 2)式也可看出, 组成电流复用结构的跨导是两个晶体管的跨导的总和。
当输入信号为正时,MRFN工作于饱和区, MRFP工作于截止区并等效成电阻RRFP, 此时, 整个电流复用结构等效成一个n沟道的共源放大器, 同理, 当输入信号为负时, 该结构等效成一个p 沟道的共源放大器, 该电流复用结构组成了推挽电路并增大了电路的动态范围, 提高了电路的线性度。
1. 3 倍频电路
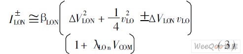
为了进一步分析本振信号倍频原理, 将本文设计混频器(图2)中的带电感倍频电路单独给出, 如图3所示。根据式( 1) , 晶体管MLON1和MLON2的漏电流ILON+ 和ILON- 可表示为:
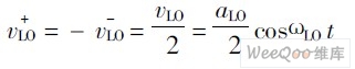
这里, vLO是LO 正弦输入信号, 且
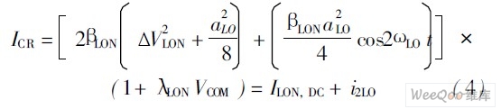
aLO是该信号的幅度, △VLON = VLO - VTN是MLON 1和MLON 2的过驱动电压。根据式( 3), 流经电流复用电路和倍频电路的总电流ICR为ILON+ 、ILON- 的和, 即得:
其中:
该信号即为LO 的2次谐波信号。
从式( 4)可看出, 在节点VCOM 处产生了LO 倍频信号i2LO, 同时基频信号被抵消。假设电感的阻抗为ZLE = RLE + j2ωLOLE, 混频点处的电压Va 可表示为:
其中, LE 和RLE分别是电感的值和寄生负载, 根据式( 5), 由于该电感的存在, 混频处的电压幅度Va 大于VCOM , 这提高了进入混频器的LO 二次谐波信号的功率, 也就是说提高了有用信号的功率, 所以有助于提高该拓扑结构的线性度, 同时也有利于减小噪声系数。
倍频电路
图3 倍频电路
1. 4 其他设计考虑
根据参考文献 , 我们在电路设计过程中做了以下考虑。从转换增益考虑, △VLO必须较小, 而 βRFN和 βRFP必须较大。当 βRFN和βRFP大到一定程度时, MRFN 和MR FP 将进入弱反型区, 当MRFN和MRFP都处于弱反型区时, 转换增益将会急速增加, 但是同时, 线性度将急剧恶化。幸运的是, 我们可以通过增加LO 的功率来同时提高转换增益和线性度。
这与吉尔伯特混频器有所不同, 对于吉尔伯特结构来说, 增加LO功率只能使转换增益增加, 但是线性度会恶化。所以在设计过程中, 必须考虑使用适当的LO 功率和△VLO, 电流复用对晶体管的尺寸和偏置要折中。我们可以设置偏置, 使△VLO处于弱反型区来得到低功耗, 同时从电流复用对上补偿线性度,并通过设置合适的LO功率得到适当的转换增益。
2 电路仿真
本文混频器电路设计基于SM IC0. 18 m 标准CMOS工艺库, 运用ADS进行了仿真。混频器工作在1. 8 V 电源电压下, 射频输入频率1. 575 GH z, 功率为- 30 dBm; 本振频率789. 5 MH z, 功率为- 5 dBm。
图4给出了转换增益和三阶交调截至点( IIP3)随本振信号功率和射频信号功率变化曲线。图4( a)显示了固定射频信号为- 30 dBm, 本振信号功率为- 5 dBm时转换增益达最大为20. 848 dB; 本振信号功率从- 8 dBm到- 5 dBm, IIP3缓慢增加到- 3 dBm, 然后开始下降。图4 ( b) 显示了固定本振信号功率为- 5 dBm, 转换增益在射频输入信号大于- 20 dBm 时开始下降, IIP3在- 11 dBm 到- 2. 297 dBm 波动。仿真结果显示, 该混频器具有高增益、高线性度的优点。
增益和IIP3随本振功率和射频功率变化的曲线
图4 增益和IIP3随本振功率和射频功率变化的曲线
表1给出了本设计的仿真结果与近期发表的论文中混频器电路结果的比较, 可以看到, 该混频器电路在转换增益和线性度上具有一定的优势。
表1 混频器性能总结与比较
混频器性能总结与比较
设计的混频器版图用C adence进行了绘制, 如图5所示。面积为0. 751mm 0. 88mm。
混频器版图设计
图5 混频器版图设计
3 总结
本文采用电流复用和偶次谐波技术设计了CMOS偶次谐波混频器, 经过对电路优化设计, 仿真结果表明, 该拓扑结构具有高转换增益、高线性度、低功耗的优点, 在便携式无线通信系统中具有较好的应用前景。
如何成为一名优秀的射频工程师,敬请关注: 射频工程师养成培训
上一篇:基于WLAN和WiMAX的全方位宽带无线技术解析
下一篇:HAC电场和磁场测试

