- 易迪拓培训,专注于微波、射频、天线设计工程师的培养
LNA的设计与仿真原理
随着技术与工艺的提高,通信系统中限制通信距离的因素已不是信号的微弱程度,而是噪声干扰的程度。克服噪声干扰是设计电子设备必须考虑的问题。从广义上来讲。噪声是指设计中不需要的干扰信号,然而各种各样的通信信号通常是以电波形式传播,因此,接收有用信号的同时,不可避免地混入各种无用信号。即便是采取滤波、屏蔽等方法,还是会有或多或少无用的信号渗入到接收信道中,干扰后续信号处理。在改善外部干扰的同时,还需充分发挥设计人员的主观能动性,即就是从接收机内部降低设备自身干扰,主要是采用低噪声放大器来实现。因此,这里提出一种低噪声放大器的设计方案。
1 低噪声放大器技术指标与设计原则
1.1 主要技术指标
低噪声放大器的主要技术指标包括:噪声系数、功率增益、输入输出驻波比、反射系数和动态范围等。由于设计低噪声放大器时,在兼顾其他各指标的同时,主要考虑噪声系数。噪声系数是信号通过放大器(或微波器件)后,由于放大器(或微波器件)产生噪声使得信噪比变坏。信噪比下降的倍数就是噪声系数,通常用 NF表示。放大器自身产生的噪声常用等效噪声温度表示。噪声温度与噪声系数NF的关系

式中,T0为环境温度,通常以绝对温度为单位,293 K,注意:这里的噪声系数NF并非以dB为单位。
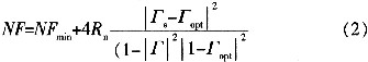
对于单级放大器,噪声系数的计算公式为

式中,NFmin为晶体管最小噪声系数,由晶体管本身决定;Γout、Rn、Гs分别为获得NFmin时的最佳源反射系数、晶体管等效噪声电阻、晶体管输入端的源反射系数。
而多级放大器噪声系数的计算公式为

式中,NF总为放大器整机噪声系数;NF1、NF2、NF3分别为第1,2,3级的噪声系数;G1、G2分别为第1,2级功率增益。
从式(3)看出,当前级增益G1和G2足够大时,整机的噪声系数接近第l级的噪声系数。因此多级放大器中,第1级的噪声系数大小起决定作用。
1.2 设计原则
1.2.1 晶体管的选取
射频电路中低噪声晶体管的主要技术指标为:高增益、低噪声以及足够的动态范围。现阶段双极型低噪声管的工作频率可达到几十吉赫兹,噪声系数为几分贝,砷化镓小信号场效应管的工作频率更高,并且噪声系数可达1 dB以下。
在选取低噪声晶体管时,通常遵循以下2个原则:1)微波低噪声晶体管的噪声系数足够小,工作频段足够高,一般情况下所选择的晶体管的fT要比其工作频率高4倍以上;2)所选的微波低噪声晶体管要有足够高的增益与足够大的动态范围。通常要求放大器的工作增益大于10dB,当输入信号达到系统最大值时,由放大器非线性引起的交调分量小于系统基底噪声。
1.2.2 电路设计原则
这里的电路设计原则实际就是输入输出匹配电路的设计原则。首先,输入匹配电路的设计原则是:在优先满足最小噪声的前提下,提高电路增益。也就是根据输入等增益圆与等噪声圆选取合适的Гout。如图l所示,通常要求Zout=Zopt,Гout=Гopt。其次,输出匹配电路的基本任务是把微波管复数输出阻抗匹配到负载实数阻抗50 Ω。输出匹配电路主要是提高增益高,因此所设计的输出匹配电路在Zin=ZT*成立才能够实现其任务。再者,放大器设计必须使得所设计的放大器是稳定的,也就是需要满足稳定性条件。最后,在满足指标的同时,重点考虑工艺和结构上的可实现性。工艺上应选择损耗小、易于加工、性质稳定、材料的物理(厚度)和电气性能(介电常数)均匀,同时表面光洁度达到一定要求的印制板。对于基板材料方面FR-4(介电常数4~5之间)与氧化铝陶瓷是常用的微波基板。在PCB 布板时还需考虑邻近相关电路的影响。此外应注意滤波、接地和外电路设计中电磁兼容设计原则。

如何成为一名优秀的射频工程师,敬请关注: 射频工程师养成培训
上一篇:如何使频谱分析仪测量中出现较大幅度误差
下一篇:RF中稳定闭环自动功率控制设计

