- 易迪拓培训,专注于微波、射频、天线设计工程师的培养
图文细说:三种测量噪声系数的典型方法
录入:edatop.com 点击:
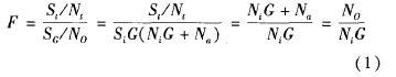
在工程上定义噪声因子(F)为若线性两端口网络具有确定的输入端和输出端,且输入端源阻抗处于290。K(室温)时,网络输入端信号噪声功率比与网络输出端信号噪声功率比的比值。

其中, Si为输入信号功率,Ni为输入噪声功率,So 为输出信号功率,No为输出噪声功率,G为两端口网络增益,Na为两端口网络本身的噪声功率。
它明确地表明了由于网络产生噪声,使网络输入端信噪比经过该网络传输后信噪比恶化的倍数,也就是传输网络对其输出端总噪声功率贡献的大小。噪声系数(NF)为噪声因子的对数表达形式,定义如下:
1 噪声测试仪法
使用噪声测试仪是测量噪声系数最直接方法,在大多数情况下也是最准确的。工程师可在特定的频率范围内测量噪声系数。噪声测试仪能够同时显示增益和噪声系数来帮助测量。噪声测试仪的测试原理图如图1所示。

图1 噪声测试仪法原理图
噪声测试仪测 试噪声系数的核心是Y系数法。首先,噪声测试仪本身是一台接收机,可以用来测试输人的噪声功率;其次噪声测试仪需要控制一个噪声源的加电和不加电状态,对被测件(DUT)进行测试。
噪声系数测试仪,如AV3984噪声系数分析仪,产生28VDC脉冲信号驱动噪声源(AV16604),该噪声源产生噪声驱动DUT.由于分析仪已知噪声源的输入噪声和信噪比,DUT的噪声系数可以在内部计算和在屏幕上显示。
使用噪声系数测试仪是测量噪声系数的最直接方法。测量人员可在特定的频率范围内测量噪声系数,通常噪声分析仪在超低的噪声测量中准确度更高一些,当测量很高的噪声系数时,测量结果会不准确。
2 增益法
目前噪声系数的测量主要使用专用的噪声系数测试仪,但当不具备这种专用设备或者所要求测试频率范围不在其范围时,可以采用频谱分析仪测量噪声系数,即增益法,该方法对于频率在所用频谱仪频率范围内的被测件都能进行测量。
基于噪声系数的定义可以得到一个测量公式 :
式(3)中,Pout是已测的噪声功率谱密度,-174 dBm/Hz是290°K(室温)时环境噪声的功率谱密度,BW是感兴趣的频率带宽,Gain是系统的增益。式(3)中每个变量均为对数,为简化公式,我们可以直接测量输出噪声功率谱密度(dBm/Hz),这时式(3)变为:
[page]
以接收机为例,测试原理如图2所示。
![]()
图2 增益法测试框图
用信号源和频谱仪测量出接收机的增益(在接收机能够接收的电平范围都可以,如 果感兴趣的是接近接收机小信号时的噪声系数,可以选择接近灵敏度电平,比如小于- 100 dBm的信号强度);为获得稳定和准确的噪声密度读数,选择最优的分辨带宽(RBW)与视频带宽(VBW),使频谱仪上的基底噪声看起来比较干净。视频带宽越小,频谱仪上显示的基底噪声越小,Pout读数越准确。
只要频谱分析仪允许,这种方法可以适用于任何频率范围。通常噪声分析仪在超低的噪声测量中准确度更高一些。对于系统增益非常高、噪声系数非常高的场合,这种方法也很准确。最大的限制来自于频谱仪的噪声基底。
3 Y系数法
Y系数法是测量噪声系数的一种典型方法。Y系数是指当被测件(DUT)的输入端处于2个不同的资用噪声功率时,在DUT的输出端得到的2个相应的资用噪声功率之比。噪声源是Y系数法测量必不可少的设备,噪声源是能产生2种不同噪声功率的噪声发生器,一般需要用DC脉冲电源驱动电压,当DC驱动电压供电时相当于噪声源开,称为热态,此时输出大的噪声功率;DC驱动电源关闭时相当于噪声源关断,称为冷态,此时输出常温下的噪声功率。噪声源的热温与冷温的差值称为噪声源的超噪比(ENR)。
测试原理如图1所示,为了进一步说明其工作原理,下面导出它的工作方程。
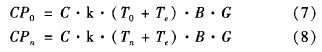
当噪声源转移到噪声温度T0时,DUT的输出功率Pn为:
式(5)中,k为波尔兹曼常数,1.38*10- 23J/K,B为带宽(Hz),G为增益,Te为被测网络等效输入噪声温度(K)。同理,当噪声源转移到噪声温度Tn时,DUT的输出噪声功率Pn为:
设噪声系数测试仪的增 益为C,则在上述两种情况下,噪声系数测试仪所检测到的功率分别为CP0和CPn即:

对式(3)和式(4)联立求解 Te并表示为F,即可得到:
式中,ENR是噪声源的超噪比(dB), Y=CPn/CP0,功率比值,通常称为Y系数,F是噪声系数(dB)。
图3所示为Y系数量值发生器的组成原理图。

图3 Y系数发生器原理图
首先使噪声源工作在噪声温度T0(冷态),射频衰减器置于0(dB),标准衰减器置于A0(dB),并使指示器指示在某一位置;然后,噪声源工作在噪声温度Tn(热态),调整标准衰减器使指示器的指示回到原来位置。设此时的衰减读数为An,那么A = An - A0(dB),可以得到Y系数的表达式为:
Y系数法适用于大范围噪声系数的测量,简单易行并且准确度高,只需要知道噪声源的ENR,并测量出噪声源冷、热2个状态下的输出噪声功率,不用测量DUT的增益,因此在对噪声系数准确度做检定时采用此方法。
[page]
4 实验验证
将式(10)给出的Y系数代人式(9),就复现了噪声系数标准值Fs,结果如表1所示。
我们选用AV3984型微波噪声系数分析仪进行实验,其工作频率为10 MHz~26.5 GHz,实验框图如图4所示。

图4 实验框图
依据图4所示连接实验仪器,AV3984的噪声系数性能指标为±0.25 dB,测试数据如表2所示。
实验中使用标准衰减器,通过记录噪声系数分析仪的Phot值,代入下列公式计算,得出噪声系数测量值:
结果表明,数据的最大偏差在0.25 dB内。Y系数法能测量很大的噪声系数范围,适用于任何频段,不受增益限制,准确度更高。
实验中使用智能噪声源,超噪比表可以自动从噪声源内上载到噪声系数分析仪内,也可以在需要的时候通过命令上载。对于需要手动输入超噪比表的噪声源,在测量之前一定要确认所使用的超噪比表与噪声源是匹配的。
噪声系数FS - Y系数值关系表



