- 易迪拓培训,专注于微波、射频、天线设计工程师的培养
利用数字预失真线性化宽带功率放大器
在无线系统中,功放(PA)线性度和效率常是必须权衡的两个参数。工程师都在寻找一种有效而灵活的基于Volterra的自适应预失真技术,可用于实现宽带RF功放的高线性度。本文将概述不同数字预失真技术,介绍一种创新性DPD线性化电路特有的自适应算法。
在无线系统中,功放(PA)线性度和效率常是必须权衡的两个参数。幸运的是,基于Volterra的自适应数字预失真(DPD)线性化电路可以使无线系统中的射频PA达到高线性度高效率。这种自适应数字预失真方案扩展了功放的线性范围,同时波峰因数有降低,可以更强力驱动射频PA,而且效率更高,同时满足传输谱效率要求及调制精度要求。
这种新型数字前置补偿器已经集成到了德州仪器公司的GC5322型集成发射方案中。几百万门专用信号处理器(ASSP)采用0.13微米CMOS工艺制造,并且包含了数字上转换、振幅因数降低以及数字预失真。这种“调制不可知”处理器支持30 MHz信号带宽。对第三代(3G)手机信号,可以降低峰值功率与平均功率之比(PAR)达6dB。对正交频分复用技术(OFDM),可以改进4 dB,同时满足邻近信道功率比(ACPR)和误差矢量幅值特性。可以修正高达11阶的非线性并达到200 ns的PA存储效应。对多种射频PA拓扑,一般可改善ACPR 超过20dB,并且功率效率提高4倍以上,对一般基站,静态功率损耗可降低60%之多。这种灵活的基于Volterra的预处理器可以为多种射频架构、调制标准和信号带宽而优化。
像用在3G和其它新兴空中接口标准中的非恒定包络调制方案在谱上更高效,但峰均信号比更高,PA的回退必然更高。这样就降低了PA效率并增加了基站的冷却和运行成本。功效低一些的射频PA一般占总基站系统成本的30%,对环境影响相当显著。随着向“绿色”的不断发展,能源效率高的技术与不断增加的能源成本、以及目前不断提高的谱效率和及信号带宽要求,还有正在发展的标准结合起来,使功放线性度成为下一代基站的关键设计问题。多年来,提出并实施了大量的功放线性化技术,如射频前馈、射频后馈以及RF/IF预失真和后失真。其中,与传统模拟/射频线性化技术相比,自适应DPD方案已证明效率最高并且最有成本效益。DSP/ASSP计算能力的不断增加使数字预失真成为越发吸引人的选项。
GC5322发射方案将数字上变换(DUC)、振幅因数降低(CFR)以及DPD结合在高度集成的ASSP中,采用德州仪器公司C67x型DSP内置软件提供的实时自适应控制。这种发射器件可以为多种射频架构优化,支持多种空中接口标准,包括CDMA2000、WCDMA、TD-SCDMA、MC- GSM、WiMAX和长期演进(LTE)手机标准。这种灵活的前置补偿器可以与多种功率拓扑一起有效使用,如A/B类或Doherty放大器,设计为支持信号带宽达30 MHz的通信系统。此文章分为两篇,集中说明DPD方案的硬件实现。
基于3G CDMA的无线通信系统以及采用像OFDM方法的多载波系统常可以处理高PAR或振幅因数信号。非恒定包络调制技术,如这些系统中使用的正交调幅具有严格的误差矢量幅度(EVM)要求。因为有这些要求,所以需要PA为高线性幅度和相位响应。PA的线性工作范围一般有限。PA非线性会引起发射信号互调失真,导致谱?裂和邻信道功率比(ACPR)的下降。这一问题的一种简单解决方法是把输入信号水平回退到PA,这样得到的信号就完全处于放大器的线性工作区。遗憾的是,PA功率效率在较低输入功率下下降相当大,使这种方法比最佳方法要逊色。此外,更加高级有效的放大器拓扑(如Doherty PA)甚至在回退功率水平下也出现相当大的非线性,导致EVM和ACPR性能变差。
在回退状态下工作时,目前使用的传统AB类功放的效率在5%~10%之间。但使用了振幅因数降低和自适应DPD技术后,效率可以提高3~5倍。更新型的PA拓扑,如Doherty放大器,或者甚至动态包络轨迹与DPD 结合起来的AB类放大器,以及更新型的器件技术,如氮化镓(GaN)或砷化镓(GaAs)功率晶体管,可以用于获得接近50%的效率。
本文下一部分将讨论线性化方案对于前置补偿器具有高度精确模型的需求。
在无线系统中,功放(PA)线性度和效率常是必须权衡的两个参数。工程师都在寻找一种有效而灵活的基于Volterra的自适应预失真技术,可用于实现宽带RF功放的高线性度。本文将概述不同数字预失真技术,介绍一种创新性DPD线性化电路特有的自适应算法。
本文第一部分主要介绍了德州仪器公司的GC5322型集成发射方案。下面我们将继续讨论线性化方案对于前置补偿器具有高度精确模型的需求。
当前的DPD实现大多数采用无记忆线性化技术,其中采用瞬间非线性(预失真)来补偿PA的瞬间非线性行为。无记忆性功率放大器的特点是其幅度和相位传输特性,此特性一般指AM到AM(即增益压缩)和AM到PM特性。对这种无记忆性功放,可以采用一种通用查询表(LUT)做前置补偿器增益/相位校正。图1示意了一种典型Doherty PA的增益压缩和AM-PM特性。因为PA的增益和相位特性随温度、电压、元件老化而变化,要达到真正高效和有效的线性化,就需要自适应控制查询表。

对于PA必须支持更高射频调制带宽的通信系统,无记忆模式证明还不够,因为它只依赖于幅度,而不是依赖于频率。必须支持大信号带宽的PA表现出明显的记忆效应,这是由于DC偏置网络中元件的时间常数大,以及有源器件的快速热效应。这样造成PA特性随早先输入水平而变,因此需要使用能降低记忆效应的预失真结构。
任何高效的线性化方案都要求前置补偿器有高度精确的模型,如果PA采用直接学习自适应架构,则也要求有高度精确的模型。文献中提出了大量具有记忆性的非线性系统模型化技术,没有一种方法能是一个普遍的解决方案。因此,模型选择很难,并且依赖于应用。有效的PA模型必须能以合理的精度表示不同类型的非线性和记忆效应。
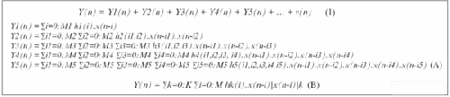
Volterra数列是一种更普遍的具有记忆性的时变非线性系统模型。包括多维卷积之和,分立时间因果形式下可以写成式1,式A详细给出条件,其中多维矩阵h1、h2、… hn为模型化非线性的n阶Volterra系数,Mn为非线性的有限记忆长度。鉴于RF PA考虑到长记忆深度(达1微秒)和非线性级(达11级),上述模型在数学上无法处理。必须采用简化方案以得到实际的前置补偿器产品。这些简化可以分为两种基本方法:算术法和模型简化法。对第一种,式1中的一般Volterra模型具有许多吸引人的算术特征,可以用于得到高效实现方案。对于模型简化法,虽然需要完整的一般Volterra(或者某些其它一般模型),如大家所知,RF功率放大器模型一般有大量Volterra项,这些项在实施中没有意义。这些项可以丢弃,不会造成线性性能出现可测量的恶化。

如何成为一名优秀的射频工程师,敬请关注: 射频工程师养成培训
上一篇:有关衰减器的综合技术报告
下一篇:国内外汽车电磁兼容现状与发展趋势

