- 易迪拓培训,专注于微波、射频、天线设计工程师的培养
微带线的基础知识
1. 微带线
严格地讲,微带线属于非均匀介质系统,在非均匀介质的结构中不存在TEM模,也不存在纯TE模或纯TM 模,而是TE模和TM 模的混合模。微带线可以看成是由平行双导线演变来的,假设在无限均匀介质中有一平行双导线线上传输的主模是纯TEM 模,如果在两导线间的中心对称面上放置一个极薄的理想的导体板,将双导线从中心对称面分为上下两部分,如果在任一单根导线和理想导体平板之间馈电,其间仍可传输纯TEM 模,因而将未馈电的那一根导线移去,也不会改变馈电的导线与理想导体平板场分布。把此馈电的导线变成扁平导体带,就形成了上半空间为同一种介质的微带线,若该介质是空气则称为空气微带线。所以空气微带线中的主模是纯TEM 模,由于空气微带线的辐射损耗大,没有实际的使用价值。
实际的微带线不同于均匀介质微带线,在导体和接地板之间填充有介质而上方是空气,因此,这个系统不仅存在介质与导体的分界面,而且存在空气与导体、空气与介质的分界面。在这种混合介质系统中,是不存在纯TEM 模。
2.微带线的相速与微带波长
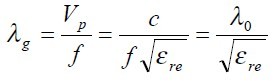
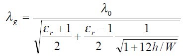
按TEM模来计算微带线的参数,常用等效的方法。设等效微带线传输纯TEM模的电磁波,则相速
为
,
是有效相对介电常数,用公式表示如下:

微带线的相波长,用
表示,

将
代入上式,可得:

从上式可看出,微带波长与工作频率和基片的相对介电常数以及微带线的宽高比有关。
3.微带线的损耗和衰减
微带线的损耗包括导体损耗,介质损耗,辐射损耗。
如何成为一名优秀的射频工程师,敬请关注: 射频工程师养成培训
上一篇:结构化方法的无线传感器网络设计
下一篇:制作卫星电视接收机的远程遥控

