- 易迪拓培训,专注于微波、射频、天线设计工程师的培养
TD-SCDMA与WCDMA系统基站共容问题
摘要 本文分析了WCDMA和TD-SCDMA联合组网的互干扰,根据基站的收发特性和无线性能指标,给出了共站址时的最少隔离度和隔离距离,从理论上分析了WCDMA和TD-SCDMA联合组网的可行性。
干扰是由于干扰源的存在,使得在被干扰系统的接收机产生了信噪比的恶化,影响了系统的性能。干扰从产生的机理上讲分为干扰源产生加性噪声干扰和互调干扰。图1为两个共址基站的互干扰原理图。

图1 共址基站互干扰原理
基站间的干扰主要分为3类:杂散干扰、阻塞干扰和互调干扰。
杂散干扰是由于干扰源滤波特性不能满足技术要求,使干扰源的带外信号以噪声的形式出现在相邻频段内,抬高被干扰基站的噪声基底,接收机灵敏度降低,上行链路性能变差。
阻塞干扰是接收微弱的有用信号时,受到接收频率两旁、高频回路带内一强干扰信号,超出了接收机的线性范围,导致接收机因饱和而无法工作。
互调干扰是指频率为f1和f2的两个信号经过非线性器件或传播媒介后出现的频率为F1的和或差的信号,如果它们落在被干扰系统的频带内,就会导致干扰,使信噪比下降。研究表明,三阶互调干扰是最强的互调干扰,其频率为f1+2f2,f1-2f2,2f1+f2,2f1-f2。
1、天线干扰隔离措施
为保证良好的系统性能,必须使两个共址基站的天线有好的隔离度,使3种干扰得到避免或最小化。天线隔离度是指基站间的路径损耗(包括天线增益和馈线损耗的综合作用),它体现了发射机到接收机间的信号衰减程度。可以采取的隔离措施如下。
(1)发射天线和接收天线保证足够的空间隔离,二者在垂直或水平距离上保持足够远;
(2)利用地形地物阻挡或使用挡板;
(3)调整基站天线的方位角或下倾角;
(4)干扰基站发送端增加带通滤波器;
(5)降低干扰基站的发射功率;
(6)在被干扰基站的接收端增加带通滤波器;
(7)修改频率规划,使干扰系统下行和被干扰系统上行的频率之间保留足够的保护带。
实际应用中,可根据具体情况采用一种或多种组合方案。上述方案中,(1)~(3)项比较容易实现,(4)~(6)项可在调测阶段有选择的使用,(7)项涉及到国家的频率政策,不太容易实现。通常最常用的方法是通过空间隔离方式降低基站间的干扰。
2、WCDMA与TD-SCDMA基站天线干扰分析
TD-SCDMA与WCDMA系统的工作频段存在接近点。我国3G频谱分配情况为TD-SCDMA的频率为1880~1920MHz、2010~2025MHz,WCDMA的工作频率为上行1920~1980MHz,下行2110~2170MHz,可见TD-SCDMA的1880~1920MHz与WCDMA的上行频率相隔最近,系统间将会存在一定程度的干扰。
TD-SCDMA与WCDMA系统间的干扰是相互的,包括基站和基站,移动台和移动台,移动台和基站之间的干扰。在网络建设中,主要考虑基站与基站间的干扰,而不必考虑移动台与移动台之间的干扰。
2.1 TD-SCDMA基站对WCDMA基站的杂散干扰
根据3GPP协议,WCDMA Node B和TD-SCDMA基站性能如表1所示。
表1 WCDMA Node B基站和TD-SCDMA基站性能

TD-SCDMA基站带外杂散辐射根据不同的情况有不同的要求,共站与临近建站时ACLR性能要求分别如表2、3所示。分析时采用性能要求较低的情况,即临近测量频点的最大干扰功率电平取-36dBm。
表2 共站时基站的ACLR性能要求
表3 临近建站时基站的ACLR性能要求
WCDMA基站的灵敏度为-120.2dBm(对12.2kbit/s的话音业务),在满足灵敏度的条件下,要求的S/N为-18dB,这样等效的系统的噪声最大为:
-120.2dBm-(-18dB)=-102.2dBm
如果从外部接收到的加性噪声导致系统的等效噪声增大0.8dB时,WCDMA基站的灵敏度降低0.8dB,可认为对系统是可以接受的,计算出此时外界的干扰约为:
10log(10-101.4/10-10-102.2/10)=-109.14dBm
当TD-SCDMA和WCDMA共存,为了避免TD-SCDMA的杂散干扰,这样TD-SCDMA和WCDMA的最小隔离度为:
-36dBm-109.09dBm=73.14dB
2.2 TD-SCDMA基站对WCDMA基站的阻塞干扰
WCDMA基站的带外阻塞指标为-40dBm,所以要消除TD-SCDMA基站对WCDMA基站的阻塞干扰需要的最小隔离度为:
39dBm-(-40dBm)=79dB
2.3 WCDMA与TD-SCDMA基站的互调干扰
TD-SCDMA的最低频点为f1=1880.8MHz,最高频点为f2=1919.2MHz,三阶互调范围在(2f1-f2)~(2f2-f1)即1842.4~1957.6MHz,可见三阶交调频率落在WCDMA上行工作频段内,对基站的上行接收性能有影响。根据3GPP协议WCDMA基站的接收机接收到的信号小于-48dBm时,WCDMA的基站不会产生交调,所以要消除PHS基站的交调对WCDMA基站的干扰需要的最小隔离度为:
39dBm-(-48dBm)=87dB
根据以上结果,WCDMA基站为防止TD-SCDMA基站的干扰,最小的隔离度应为87dB。
3、基站天线空间隔离
天线隔离方式一般有3种方式:水平隔离,垂直隔离,组合梯形隔离,可以通过以下3个公式计算隔离度。
水平隔离度计算公式为:

其中,Gant为两基站天线的有效天线增益,dh为两系统天线间的水平间隔距离,λ为波长。对WCDMA全向天线,其增益为11 dBi,TD-SCDMA天线在此基础上增加7dB的赋形增益,共18dBi,两基站共站时还存在-6dB的耦合增益,因此Gont=11+11+7-6=23dBi。隔离度Ih为87dB,波长λ为3×108/1922.5×106=0.1560m,则水平隔离距离为3918.54m。表4为不同水平隔离距离时的隔离度。
表4 水平隔离度 
垂直隔离度计算公式为:

其中dv为垂直隔离距离。同样,代入上面所取的数值,可计算为达到87dB的隔离度要求,需要的垂直隔离距离为4.66m。分析水平隔离和垂直隔离度的计算公式可见,采用垂直隔离时,获得的隔离度与垂直距离的对数呈40倍关系,也就是说,当垂直距离增大10倍时,隔离度将增大40dB,而对于水平隔离的情况,隔离度只能增大20dB。同时,水平隔离时还需考虑发送和接收天线的增益,这在很大程度上也提高了水平隔离时的距离要求。表5为不同垂直隔离距离时的隔离度。
表5 垂直隔离度 
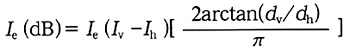
梯形组合隔离度计算公式为:

采取不同的垂直隔离和水平隔离距离组合,可得到组合隔离度如表6所示。
表6 梯形组合隔离度
4、结论
由以上分析可见,WCDMA和TD-SCDMA基站之间要达到87 dB的隔离度,采用水平隔离时需7147m的距离,实际中只能通过增加外接带通滤波器解决,但是要评估使用外接带通滤波器对网络覆盖和容量的影响。采用垂直隔离时需4.66m的天线高度差,这说明两者共站建设是完全可能的,只要通过天线高度差就可以解决互干扰问题。
对于共址建设的情况,需处理好垂直隔离距离和水平隔离距离的组合,若由于实际场景的限制而无法实现所定出的最小空间距离的无线站,则需要另外增加外接带通滤波器。必要时,要对网络的无线设计做适当的调整或对网络进行优化,以弥补由于使用外接带通滤波器对网络覆盖和容量产生的不良影响。

