求解,Razavi 习题9.14解答好像也有错误!
录入:edatop.com 阅读:
求解,Razavi 习题9.14解答好像也有错误!
是(b)小题有误!
是(b)小题有误!


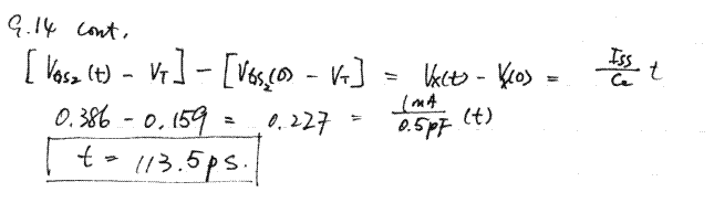
当M1的Vgs-Vt=1.159V时,此时M1已经不是饱和区了,这时等式不再成立!
可以验算一下,Vgs-Vt=1.159V时的如果饱和,那么Id>>1mA了,所以此时M1和M2都不应该处于饱和区,大家认为呢?
呵呵,顶一下。
很少做他的习题,感觉太多了,呵呵。但他的书写的还不错。思考了才是自己的
貌似是这样
? ?
同意你的观点,他好像漏了共模电压的变化了
基于上面的运算,我的计算如下
vdsat(0)=0.159V (ID=0.5*ISS)
vdsatm1(t1)=? (ID=0.9*ISS) vdsatm1(t1)=0.159*sqrt(0.9/0.5)=0.213
vdsatm2(t1)=? (ID=0.1*ISS) vdsatm2(t1)=0.159*sqrt(0.1/0.5)=0.071
因此,M1栅压上升1V,M2的栅压应该上升(1V-0.213+0.071)=0.858V
然后近似计算 t1=0.858V*C/ISS即可申明:网友回复良莠不齐,仅供参考。如需专业解答,请学习本站推出的微波射频专业培训课程。
上一篇:发起讨论:怎么减小运放的建立时间呢?
下一篇:请教,关于HSPICE

