功放终极问题
录入:edatop.com 阅读:
关于我的问题 整理如下
希望高手指导 我使用两个管子来充当功放的最后一级
在输出时,需要功率合成,此时也遇到了确定最佳阻抗的问题
功放设计中,一般最后一级的设计是根据最大功率而确定输出阻抗的
如果是一个管子,直接使用ADS的loadpull就可以确定并且通过匹配网络,将负载50欧姆匹配到所需要的最佳阻抗即可。
可是在两个管子中 就需要牵扯到功率合成啦
功率合成的内容 是说两路信号输入 一路输出
指标应该是两路输入隔离很好 三个端口匹配也需要较好
那这样就产生了与负载牵引的矛盾设计
因为功分器如果直接与管子相连,
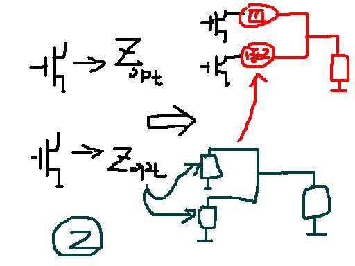
此时如图1所示 将整个电路带入loadpull 然后确定出最佳阻抗
这是候把负载匹配到最佳阻抗 功分器的输出端口看进去应该匹配不是很好
这样就影响了功分器的质量
假若先用loadpull来确定每个管子的最佳阻抗,然后使用该阻抗充当功率合成端口的输入Term ,然后利用此Term来调节功分器的指标 与最后的负载调节匹配应该效果很好 图2
以上是我的观点不知道高手的意见如何
希望高手指导 我使用两个管子来充当功放的最后一级
在输出时,需要功率合成,此时也遇到了确定最佳阻抗的问题
功放设计中,一般最后一级的设计是根据最大功率而确定输出阻抗的
如果是一个管子,直接使用ADS的loadpull就可以确定并且通过匹配网络,将负载50欧姆匹配到所需要的最佳阻抗即可。
可是在两个管子中 就需要牵扯到功率合成啦
功率合成的内容 是说两路信号输入 一路输出
指标应该是两路输入隔离很好 三个端口匹配也需要较好
那这样就产生了与负载牵引的矛盾设计
因为功分器如果直接与管子相连,
此时如图1所示 将整个电路带入loadpull 然后确定出最佳阻抗
这是候把负载匹配到最佳阻抗 功分器的输出端口看进去应该匹配不是很好
这样就影响了功分器的质量
假若先用loadpull来确定每个管子的最佳阻抗,然后使用该阻抗充当功率合成端口的输入Term ,然后利用此Term来调节功分器的指标 与最后的负载调节匹配应该效果很好 图2
以上是我的观点不知道高手的意见如何


申明:网友回复良莠不齐,仅供参考。如需专业解答,请学习本站推出的微波射频专业培训课程。
上一篇:仿真建立时间时的冲击信号应该如何加?
下一篇:请教pll锁定问题

