请教达人GRAY书的一个题目的答案问题
录入:edatop.com 阅读:

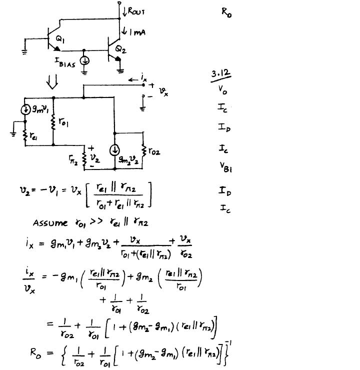
不知道图示的小信号模型是否画错了,而且Q1的输入电阻他为什么用rex而不是rpi
没人帮忙啊
假设BETA一样,则因为 rpi1>>rpi2 , 故此时gm*v1这一路的电流等效于(re1≈1/gm1)上的电流(注意为负阻值),或者说2者串联的,就像图中的一样,纯粹玩等效
申明:网友回复良莠不齐,仅供参考。如需专业解答,请学习本站推出的微波射频专业培训课程。
上一篇:电压线性缩放
下一篇:請問各位大大有沒有以下書的解答

