求助坛友推荐上海RFIC工作,有酬谢并附送一份很多同行感兴趣的资料
录入:edatop.com 阅读:
金融危机之下工作实在不好找,本人小硕(985高校),目前在沪,多年RF经验(包括读研之前工作期间和硕士毕业后),做过一段时间RFIC,主要在PLL/VCO 方面,
想请各位坛友推荐上海RFIC工作(analog或RFsystem亦可考虑),事成之后本人将向相关人士支付酬谢金(按上海公司一般推荐费标准),并赠送Thomas LEE RFIC教材全套
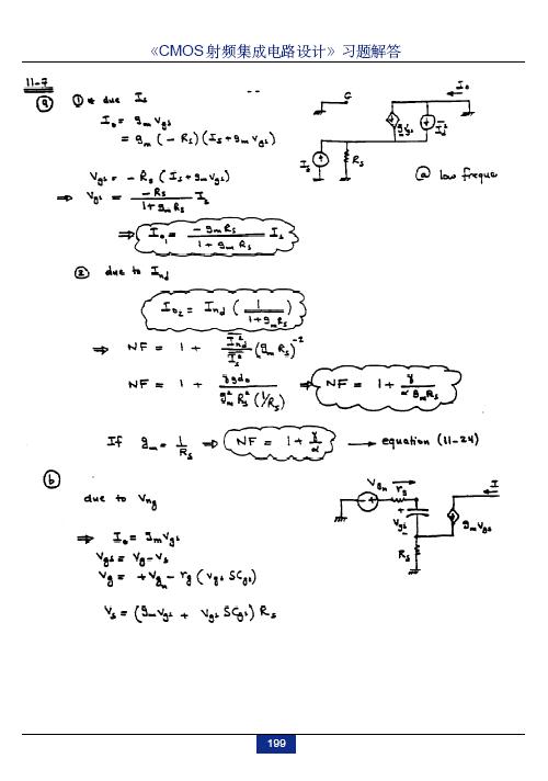
官方解答过程(资料约280页,170M,绝对真实,截取的样张可见附图)。有意者可站内信箱联系或QQ1078727575,非诚勿扰,最近的确有点烦,见谅
想请各位坛友推荐上海RFIC工作(analog或RFsystem亦可考虑),事成之后本人将向相关人士支付酬谢金(按上海公司一般推荐费标准),并赠送Thomas LEE RFIC教材全套
官方解答过程(资料约280页,170M,绝对真实,截取的样张可见附图)。有意者可站内信箱联系或QQ1078727575,非诚勿扰,最近的确有点烦,见谅


现在有多年经验的工程师都沦落到这样 看来国内ic无望啊
祝福大大前辈早日找到新的工作。
在上海的确不好找,我们几个师兄都去北京了,上海难混啊
锐迪科招人不?
f ........
唉!友情支持!
hehe,小编还不如慷慨的贡献出来,我相信有合适的,论坛的兄弟姐妹一定会帮忙推荐的。很多公司推荐合适的人都有酬劳的呀,何乐不为呢。
顶一个 ~
这位兄弟见谅,并非是我小气,这个文件是手写件的扫描版本,280页就有170M大小(见附图所示) ,现在的确没时间也没心情上传这么大的东西,如果你确实能帮我的话,
对朋友我是绝对不会吝啬的
blessing~
God bless you! 希望早日有人把这份答案传上来啊
祝前辈早日如愿
LZ 也不容易,祝愿早日找到好工作
bless小编!
友情up
友情支持!
Good Luck! Let us know when you have good news!
期待答案公布
答案!
附件里面是什么?
申明:网友回复良莠不齐,仅供参考。如需专业解答,请学习本站推出的微波射频专业培训课程。
上一篇:做模拟ic设计应该从哪入手?
下一篇:怎么确定采样保持电路的负载电容

