请教---发一个扯淡的娱乐贴,权且一笑而过,^_^
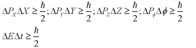
在量子力学中,由于物质的波粒二像性,导致一个普遍的原理---测不准关系,包括:三维动量与位置关系;能量与时间关系:
根据类比原里,为啥ADC中速度与精度很难兼得?为啥OTA中速度与精度很难兼得?。为啥这个世界不存在完美事物?---是否这些都是普遍存在的不以人的意志为转移的客观规律呢?是否希望以很小代价地实现ADC、OTA速度与精度完美结合几乎不可能呢?

厉害 已经上升到哲学高度了
一个扯淡的娱乐贴
类比是很好的思考方法。 但ADC中 bandwidth与accurary是本来就是可以兼得的,如果你不限定power consumption 的话。
记得还在学校读书时 Prof. Hae-Seung Lee在课上,好像给我们讲过这方面的事。 但那跟Heisenberg Uncertainty 无关。 只是说,理论上,假设已经使用了最佳的architecture, 那么如果还要 降低Thermal noise 和提高signal bandwidth, 都需要power.
HS Lee说,简单的物理计算可以得出,对于“the modified Figure of Merit" for ADC, the fundamental limit 可以算出来是 1.28x10^-21 Joule*volt / VDD。 看看ISSCC 2008 和2009的水平,就知道我们离 the theoretical fundamental limit 还远远地有 4个数量级的距离,所以做ADC的同学不用担心。离 “做到头了” 还远着呢
4#nb..........
说得好哈 就是一个折中的考虑吧
太深奥了。,这些公式第一次看见。
1# saiaoying
you 才啊
4#太有才了
4# batelab
说的不错。
因为现在的电信号还是宏观量,是一个微观量的统计结果,不适用微观的量子力学。
有没有可能在电路上实验出薛定谔猫的现象?
申明:网友回复良莠不齐,仅供参考。如需专业解答,请学习本站推出的微波射频专业培训课程。

