求助各位大虾,怎么样用MATLAB解这个方程组
录入:edatop.com 阅读:
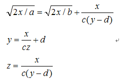
请教各位大虾,怎么样用MATLAB解这个以下方程组

其中,a,b,c,d为常数,x,y,z为自变量,求出x,y,z的值。
谢谢各位大虾

其中,a,b,c,d为常数,x,y,z为自变量,求出x,y,z的值。
谢谢各位大虾
希望大虾们不吝赐教
申明:网友回复良莠不齐,仅供参考。如需专业解答,请学习本站推出的微波射频专业培训课程。

