请教各位大牛传递函数!
录入:edatop.com 阅读:
如图小信号,传递函数算出来灰常复杂啊 求问各位大牛都用什么方法算的,算晕了也没算出来
近似:C1=C4=0 R1和R4很大

参考答案

近似:C1=C4=0 R1和R4很大

参考答案

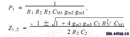
确实灰常复杂,如图所示,带一个容性反馈环路,可以用KVL求解,一个极点一个极点地列KCL,再用迭代。
看了Sansen在90年代的一篇paper,ms有symbolic analysis的软件可以相对容易的完成传函推导,搭车求大牛指教!
把nodal equation一些,随便一个symbolic software 都能解。推荐maxima,免费的,或者maple, mathematica, matlab, mathcad.
谢谢这位大侠
化简电路,用梅森公式来计算,
哎,我都是人工推导,之前推个传函推了一个星期
呵呵,其实手工解也不是很复杂,只需要列写出节点电压方程,然后转换为矩阵形式,直接使用克莱默法则进行计算就可以了,曾经推导过一次,花了半个小时。
要想手工算,什么法则都不需要,初中数学基础就够了。手算上几次就发现都是体力活,而且用软件可以做各种化简近似
申明:网友回复良莠不齐,仅供参考。如需专业解答,请学习本站推出的微波射频专业培训课程。

