有关threshold voltage
录入:edatop.com 阅读:

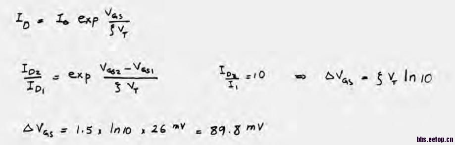
threshold voltage通常应该是0.7,怎么这里是26?
这里的VT又不是指的shreshold voltage,而是kt/q
不知道说什么了
兄弟,这是bandgap ...
哦,谢谢了!
申明:网友回复良莠不齐,仅供参考。如需专业解答,请学习本站推出的微波射频专业培训课程。
上一篇:LVS出现 unknown 错误
下一篇:小信号模型

