请大家给指点一下这三个非门组成的结构的功能
录入:edatop.com 阅读:

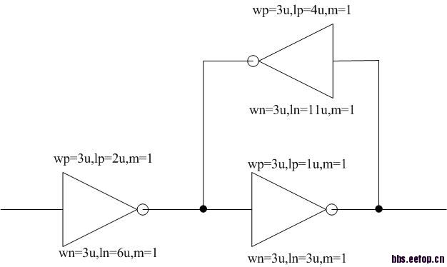
哪位高手给指点一下,这个结构有啥功能?各非门的参数在图中已标注出来。
不就是latch么..
谢谢指点
常用于d flip-flop中
申明:网友回复良莠不齐,仅供参考。如需专业解答,请学习本站推出的微波射频专业培训课程。
上一篇:工作5个月面临抉择,请有各位指点迷津
下一篇:关于ADC中的量化噪声

不就是latch么..
谢谢指点
常用于d flip-flop中
申明:网友回复良莠不齐,仅供参考。如需专业解答,请学习本站推出的微波射频专业培训课程。
上一篇:工作5个月面临抉择,请有各位指点迷津
下一篇:关于ADC中的量化噪声