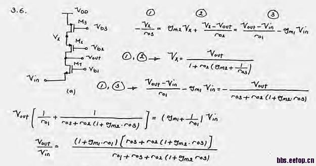
小信号放大增益
录入:edatop.com 阅读:
看图吧,答案第1行的Vx除以M3的ro是什么意思?这个算的是哪里的电流?


我觉在是再算流过Vx引起流过M3变化的电流
流过M3的小信号电流
流过晶体管有两路电流,一路是gm控制的vccs电流,一路是输出阻抗上流过的电流
M3的小信号电流
为什么不是用(Vdd-Vx)/ro3?
小信号等效电路中直流电压源接地,电流源断路,自然得到M3管的Vgs=0,所以流过它的电流只有ro上
在小信号等效电路中,直流电源接地
那么右边的gm2*Vx是什么意思?从小信号的模型上来看,对于M2,如果忽略Gate的电流,那么Source端的电流应该是Vgs2*gm2+Vds/ro2。这里是不是也把Vb2认为是GND了?
申明:网友回复良莠不齐,仅供参考。如需专业解答,请学习本站推出的微波射频专业培训课程。

