源跟随器
录入:edatop.com 阅读:
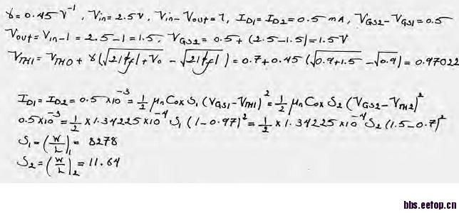
话全在图里,直接看图吧。




在任何情况下Vsb都应该是大于零的
我看到的PHi是正的
Vsb是Vout-Vb,Vb接最低电平
按这种说法的话M2的gate就和bulk短接了?有个地方要注意,Vb并不是bulk potential,而是M2的gate potential.
申明:网友回复良莠不齐,仅供参考。如需专业解答,请学习本站推出的微波射频专业培训课程。

