请教一下,拉扎维第四章
录入:edatop.com 阅读:
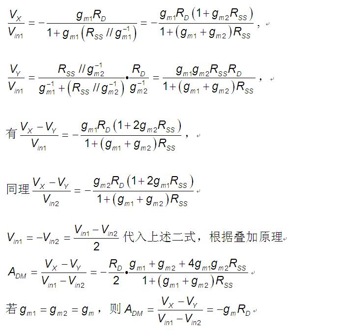
103页式4.46有人认真算过么?我怎么得不出书上给的结果?望高手赐教

这样的
THANKS FOR SHARING
VY/Vin1怎么算的还是不太明白,菜啊。求高手继续赐教。
东南大学的学生果真牛啊,这都推倒出来了
东南大学的学生果真牛啊,这都推倒出来了
多谢,学习了
多谢,学习了
申明:网友回复良莠不齐,仅供参考。如需专业解答,请学习本站推出的微波射频专业培训课程。
上一篇:关于正向设计各位大侠有何见教
下一篇:请教,Monte Carlo分析

