拉扎维课后题求助
录入:edatop.com 阅读:

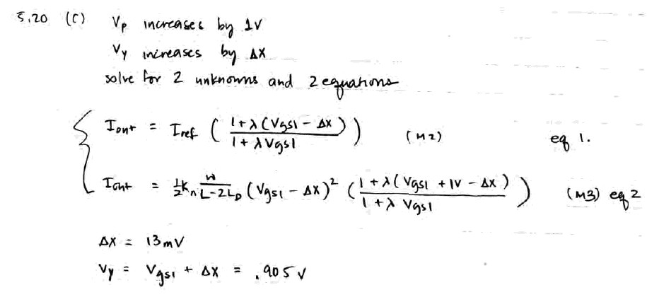
这是拉扎维第5章的课后题 我对第二个公式始终没法明白 不知道有没有达人帮我解答下 谢谢了
我也看不懂这是什么意思,不是可以用共源共栅的屏蔽效应里面那公式可以直接求吗
需要好好研究啊
老大,后面有提示呀!
P点电压增加,将会使得Y点电压增加,就是说镜像支流电流会增加。第一个公式是比较M2 和M1 Iref的关系。M3的电流对于M2。但是M3 Vgs减少,而Vds 电压增加。总体上使M3增加电流等于M2增加电流。
后面提示的好像是说第三个管子计算的电流我觉得第三个管子的电流应该是
Iout=0.5Un*Cox(W/L)(Vgs1-Vth-△x)平方 *(1+ramder(Vgs1+1-△x)))
答案里为什么有(Vgs1-△x)平方 如果算管子电流的话也应该减去阈值电压啊?
感觉答案中吧△x变成阈值电压才正确啊
没人回答下吗?
我认为:
首先,第一个公式错了,应该是Vgs1+△x,因为,Vy变大了, Iout>Iref。
其次,第二个公式有个近似,它把平方项里的(Vy+△x)≈Vy了,
最后,Vy=Vgs1+△x,是因为。在Vp变化之前,Vy=Vx=Vgs,所以变化后,Vy=Vgs1+△x了。
申明:网友回复良莠不齐,仅供参考。如需专业解答,请学习本站推出的微波射频专业培训课程。
上一篇:求助一下,我的Orcad Pspice A/D不能进行参数扫描的原因,谢谢
下一篇:cadence器件参数的位置修改

