问个关于相位噪声的问题
录入:edatop.com 阅读:
LC VCO为什么Q值越大相位噪声越小,为什么振荡的幅值越大相位噪声越小
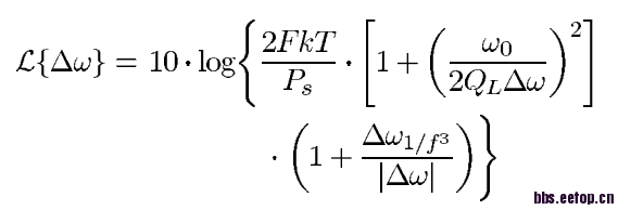
QL is the effective quality factor of the tank with all the loadings in place (also known as loaded Q).
好象是有条曲线的,Q越大表示越稳定吧.
Q越大,曲线越尖
能不能说具体点
Q值大=>电阻小=>相位噪声好
幅值大=>噪声不变的条件下,噪声与信号之间的差距大=>相位噪声好
振荡的幅值大,相位噪声的绝对值也跟着大,dbc值不变,相位噪声不会改善
能不能把相关的公式告诉我,或者推荐一篇paper
根据相位噪声的公式,看看Q和振幅的位置,就知道他们变化会对相位噪声有什么影响了。
Leeson's equation phase noise is proportional to R/(Q^2*A^2), where R is the tank parallel reistance, Q is the tank Q and A is the carrier amplitude. Note that Leeson's equation is derived based on a linear analysis and do not take into account noise frequency translations.
Thomas Lee的CMOS射频集成电路专门有一章说相噪的事,可以看看,呵呵。
Leeson–Cutler phase noise model
QL is the effective quality factor of the tank with all the loadings in place (also known as loaded Q).
学习了~
申明:网友回复良莠不齐,仅供参考。如需专业解答,请学习本站推出的微波射频专业培训课程。
上一篇:扩频振荡器的伪随机数?
下一篇:SCL 分频器

