RF Microelectronic(Second Edition) P290中的一个公式推导
录入:edatop.com 阅读:
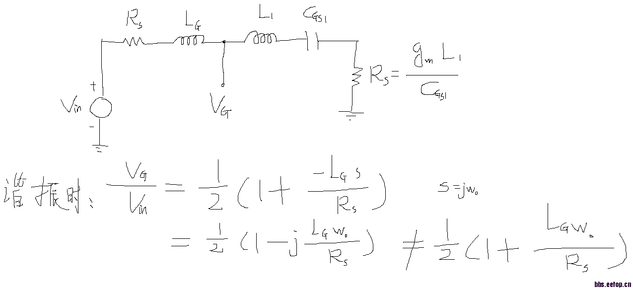
电路图如下所示:w0为谐振角频率,且电路输入阻抗匹配,求电路的M1的栅极电压与输入电压之比Vg/Vin?

书上的答案是
:

想跟大家讨论一下,个人觉得这个答案有待商榷。
我的解答如下:(点一下图片就能清楚显示)

没有考虑Cpad电容,但是考虑不考虑结果是一样的,只要谐振频率一定。
请大家一起讨论一下,特别是看过的人士。谢谢!
这种问题难道就没人讨论?
晕,失望啊
就没人看过?
我和同学讨论了下,感觉你的是对的。
这个答案显然是错的。
他书上错误的推倒或错误的结论还真不少。不用那么较真,
谢谢捧场……
申明:网友回复良莠不齐,仅供参考。如需专业解答,请学习本站推出的微波射频专业培训课程。
上一篇:关于采样开关的问题
下一篇:怎样测I/O中发送端的输出阻抗

