求助拉扎维(razavi)反馈(feedback)习题

解答如下

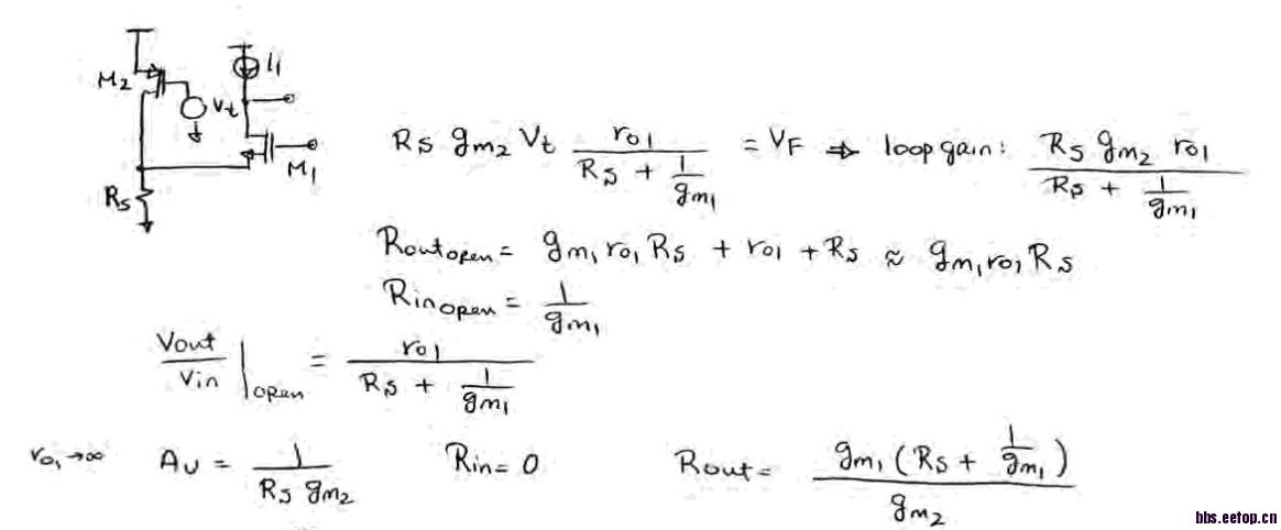
其中环路增益没问题
但是Vout/vin为什么那种求法?
输入输出电阻怎么求出来的
小信号模型?(感觉不像)
怎么近似的
关注
把 Vin/Rs 看成电流输入 其实环路的增益是V/I 因为电压-电流反馈。
关注
关注
输出端没有负载,反馈是电压---电流型
或者说是电流源代替负载,电流源引入的负载为无穷大,这样理解?
输入端VIn接电阻Rs产生输入电流?
输入电阻为什么是1/gm2 ?而不是Rs//(1/gm2)?
电压---电流型反馈 必须是输入是电流,输出是电压。所以这个例子里有个Iin=Vin/Rs(诺顿等效),Iin就是等效的输入电流。对于输入电阻,我想你是对的。可能他做了简化,开路情况下,假设输入的电流Iin全部流入电路,这样Rs就远远大于1/gm2。 所以 (1/gm2)||(Rs)约等于1/gm2。
感谢回复,差不多弄懂了
另外还有两个地方有点模糊,明天贴出来
dou wang le

借地提问,他答案里 c和d 图的里共栅极是不是的增益是不是都算作gm*r0而不是1+gm*r0的?
共栅极的增益本来就是gm *ro啊
gm*ro好像是本征增益
1.输入端做了诺顿等效 2.作者把Rs看作电源内阻,你注意看图,Zin指向的是MOS管的源极,而不包括Rs。所以这里谈不上近似,输入电阻就是1/gm2.
如果把Rs看做电源内阻那么就能解释得通了
拉扎维写得太简略了点,不仅如此,闭环增益Av_close遗漏了负号,b图的输入阻抗Zin也求错了(其余都对),遗漏负号的原因是断环法求得的环路增益并不等于AF,而是等于-AF。而电压电流负反馈Zin=∞则是荒唐的,拉的图可以求Av_close,Zout,但不适用Zin,因为Rs不在环路内。直观地分析b图,设一个增量dv加在Rs右节点,引起增量ids1=dv*gm1,它等于ids2的减量,即等效该电流从M2 d极流向s极,所以Zin=dv/(dv*gm1)=1/gm1,这些电路可以用节点法求解,诸位都会,我就不说了,只说一下反馈法求Zin,
考虑负载的拆环,得到拉的图(去掉Rs),可以写出
开环增益 A_open=-ro2*gm1/gm2 Ω
反馈系数 F=-gm2 S
Zin_open=ro2
∴Zin_close=Zin_open/(1+A_open*F)=ro2/(1+ro2*gm1)=1/gm1 (∵ro2→∞)
这里还有237页的习题解答,也有点不懂
习题:
其解答如下:

疑问如下:
1、19题中,跟20题b中化简后,都属于V-I反馈,而采用的解答方法不同?
2、在19题中求一级的输出电阻时候,考虑了二级的影响,而我们以前考虑的都是分开的,在什么情况下药考虑二级对一级的影响,或一级对二级的影响?
3、在才用相同方法解答的过程中,结果却不一样,或没有类似的答案结构
申明:网友回复良莠不齐,仅供参考。如需专业解答,请学习本站推出的微波射频专业培训课程。

