求教 噪声问题
录入:edatop.com 阅读:
看拉扎维书也一直没搞懂,为什么共栅管对输出端的噪声没有贡献,希望有个直观的解释!谢谢

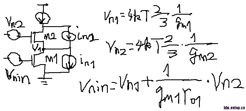
如上图,Vn1和Vn2分别为M1,M2的噪声等效到各自栅极的噪声电压,那么M2的Vn2到V1节点相当于source follower
然后再等效到M1的栅极,就要除以M1的增益GmR,R为V1点的对地阻抗。这样,M2的噪声贡献就可看到是很小的
不错,不愧是卢汾门下弟子。
版大我有个疑问,若是你上面的电流源输出电阻超大,M2的噪声还是这般计算吗?
是不是M2的噪声电流要留到M1?
细心的人会发现我这个公式写的有些问题,v1n
和v2n都是应该带平方的,才能和右边的相等。噪声这个东西本身就是个能量概念,不好说谁流向谁。cascode只有在电流源电阻看成很大时,他的噪声贡献才能近视忽略,这是由M1的低频增益决定的
二者到输出的噪声带宽近似一样,但增益不一样
谢谢!
谢谢,受教了
m1管子栅极接地,受控电流源开路,m2噪声电流自然无法形成输出
学习,学习。
学习了。
学习学习 运放的noise啊
申明:网友回复良莠不齐,仅供参考。如需专业解答,请学习本站推出的微波射频专业培训课程。

