请教《Understanding Delta Sigma》书里面的问题
Understanding Delta-Sigma Data Converters书里259页讲到NTF的rms gain,里面有一段例子:


我按照里面的方法仿真出NTF的rms gain然后带到实际电路中计算得出SQNR只能达到64dB,而我用Simulink理想模型仿真(未考虑所有非理想因素)SNDR能达到94dB,二者相差了30dB,想知道用rms gain去计算SQNR正确吗?

PS:我仿真rms gain所用的NTF表达式和建模所用的NTF完全一样的
从Input-SNR的关系曲线上显示-6dB输入时SNR也是94dB
不清楚用rms gain去计算哪里出问题了
哪位大侠指教下,小弟先谢过!
你计算时信号幅度咋这么小
谢谢回复~
但是即便按照满幅输入来算的话也才达到70多个dB而已啊,搞不清楚这两种方法的结果为什么有这么大差异
没人理~
还是没搞明白,继续求
不明白,按理两个不会差这么多。你计算中的44db是怎么来的?
谢谢!
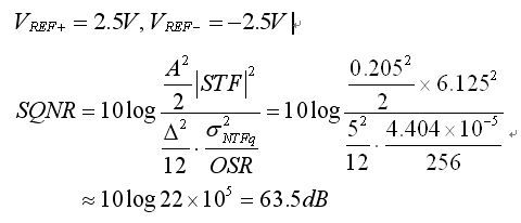
我是用实际电路的NTF表达式带到Schreier书里的matlab程序里计算出来的结果(sigma_ntf =dbv( rmsGain(ntf,O,O.5/0SR) )),NTF和simulink里的结构完全对应的,而且我用对|NTF|^2进行积分的方法计算出来的结果也是-44dB,和书里程序算出的结果一样,却和搭建的模型结果差别很大,建模时输入也是1.25v,Vref=±2.5V
主要是觉得你这个44太小。二阶的ntf在256过采下应该都不只这个数了,总不至于你是用一阶吧?
我用的2阶OSR=256前馈结构,照理论达到90dB应该没问题。我感觉simulink仿真的结果比较靠谱,用数值计算得出的-44dB抑制能力实在太低,但是我又找不出来计算错在哪里,完全按照书里的程序做的,我之前还怀疑书里的程序对不对,我就从最根本的原始公式去计算NTF在带内的衰减,结果还是-44dB。唉,实在搞不清,找不出计算错在哪里
NTF的表达式推了n遍了,应该不会在这里出错,郁闷~
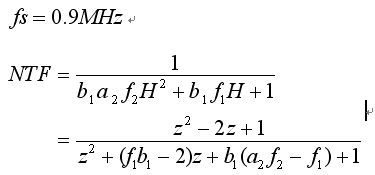
贴一下结构
怀疑你ntf的计算。你的ntf最后表达式是什么?在带边的ntf gain又是多少呢?
再次感谢~
表达式如下:难道表达式算错了。
又推了一遍还是没发现错..
Δ=5?是不是这里出错了?5有点大了吧?这里的5你是怎么得出来的?Δ=VFs/2^N;不会有5那么大吧?
一位量化
申明:网友回复良莠不齐,仅供参考。如需专业解答,请学习本站推出的微波射频专业培训课程。
上一篇:做AC-DC好还是做AD/DA 发展好?
下一篇:如何减小高压电路的关断电流

