Razavi第七章课后习题的不解
录入:edatop.com 阅读:

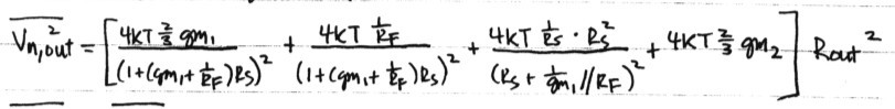
拉扎维第七章习题7.7a这儿,求输入电流参考热噪声
在求输出噪声时,参考答案是

此处第一项和第二项,gm1,Rf的噪声电流为何除以(1+(gm1+1/Rf)Rs)^2呢
有人说这是等效跨导,那么请问为何要除以等效跨导呢?咋个求呢?
感激不尽!



关于有效跨导,需要好好理解晶体管的本质是电压控制电流源。Av=G×Rout。
仅供参考。
谢谢iWeiguo君!你完美地解决了我的疑问!
我会努力复习razavi这一章节的!
申明:网友回复良莠不齐,仅供参考。如需专业解答,请学习本站推出的微波射频专业培训课程。
上一篇:版图工具中对称性问题的探讨
下一篇:my .cshrc

