拉扎维带隙基准源基本模块的一个质疑,欢迎大家讨论(已解决)
录入:edatop.com 阅读:
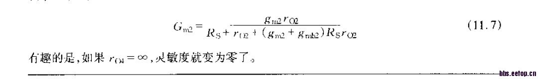
311页例题11.11

他说当r02和ro4为无穷大时,VDD变化不会导致Iout变化

直观理解是这样的,比如当VDD增加后,因为右支路由于ro2等于无穷大,那么从M2漏端看下去的交流阻抗也为无穷大,这样M4栅极的电压与VDD变化相同,左支路M4栅源电压也就没有变化,而且由于ro4为无穷大,流过左支路的电流也就不变,从而Iout也不变。
但是,我理论计算出来的结果却是:即使ro2和ro4为无穷大,Iout也要随VDD变化。因为如果左右电路同时考虑的话,在考虑右支路M2漏端向下看的交流阻抗时,M2栅极则不能看成交流地,这样Iout也就变了。
这里拉扎维是不是搞错了?还是我错了?
画出小信号等效图,进行理论计算,也是跟VDD的变化时没有关系的,M2的gate当然不能是交流地,可以推导出gm2 gm4 R1 R3 RS 有个等式关系 与VDD的交流变化无关
我竟然算错了
申明:网友回复良莠不齐,仅供参考。如需专业解答,请学习本站推出的微波射频专业培训课程。
上一篇:PDK参数修改
下一篇:成都有什么模拟IC的公司嘛?

