初学差动放大器,求指点!
录入:edatop.com 阅读:
出自扎拉维cmos

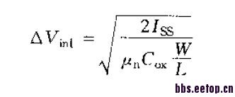
[attach]506911[/attach]

从公式上看这句话明显是对的,但是用老扎常用的直觉上看,我却怎么也想不通,ISS增大,通过mos管的电流增大,那么Vout点的电位会降低,要想把mos管维持在饱和区,岂不是需要Vin更小,那么输入范围是怎么增大的呢?难道是两边都减小,Vin2减小的多,一减还变大了?即使这样的话,ISS也不能越大越好啊,终会把Vout点电位减为0的,想不通啊,想不通!
我知道我肯定是错了,恳请各位大神指点!

[attach]506911[/attach]
从公式上看这句话明显是对的,但是用老扎常用的直觉上看,我却怎么也想不通,ISS增大,通过mos管的电流增大,那么Vout点的电位会降低,要想把mos管维持在饱和区,岂不是需要Vin更小,那么输入范围是怎么增大的呢?难道是两边都减小,Vin2减小的多,一减还变大了?即使这样的话,ISS也不能越大越好啊,终会把Vout点电位减为0的,想不通啊,想不通!
我知道我肯定是错了,恳请各位大神指点!
问题应该出现在你说的饱和区上,当达到最大差模输入范围时,一个管子截至,而另一个并不是处于饱和区的,应该已经进入线性区了,但此时的跨导已经很小了,增益也很小了,vin的输入范围是可以变大的,或者说必须变大的,因为漏源电压的减小,若电流还要增加,栅电压必然增加。
多谢解答!似乎懂了一下下,电流较大时一个截至一个线性,可以输入电压的差是变大的?在接近线性区和截至区时双端输出的增益应该是接近与1的吧!
我觉得老扎只是说增大ISS只是增大线性度,而没有说增加输入动态范围。增大ISS可以增大gm,从而增加线性度。
申明:网友回复良莠不齐,仅供参考。如需专业解答,请学习本站推出的微波射频专业培训课程。
上一篇:SFDR
下一篇:关于mos管的直流增益!

