nmos管电子迁移率求解问题?
录入:edatop.com 阅读:
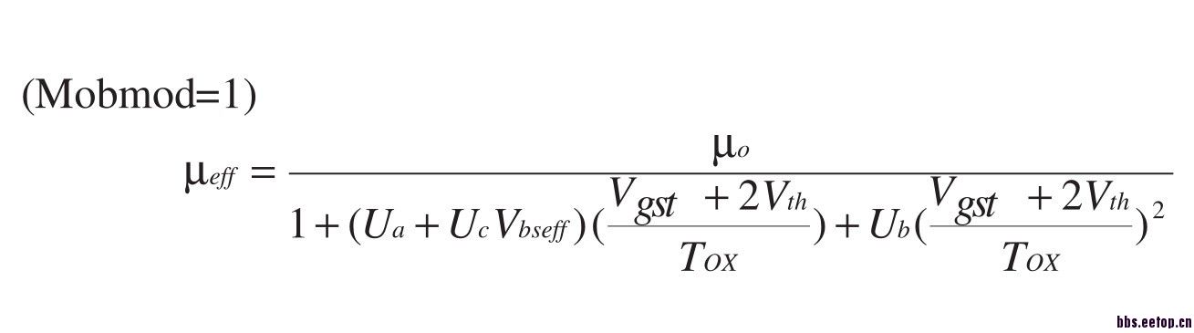
在BSIM3V3中,电子迁移率公式
,Ueff是跟U0,Ua ,Ub,Uc,Vbseff有关,在cadence直流仿真后可以查阅到U0,Ua ,Ub,Uc。现在是请问Vbseff是什么来的?
我记得在bsim那个文件上就有,你就搜索bsim这个模型的说明pdf。文件内搜索bseff,就能找到,上周还看了。不过那个公式很复杂的说
申明:网友回复良莠不齐,仅供参考。如需专业解答,请学习本站推出的微波射频专业培训课程。

