拉扎维反馈习题疑问
录入:edatop.com 阅读:
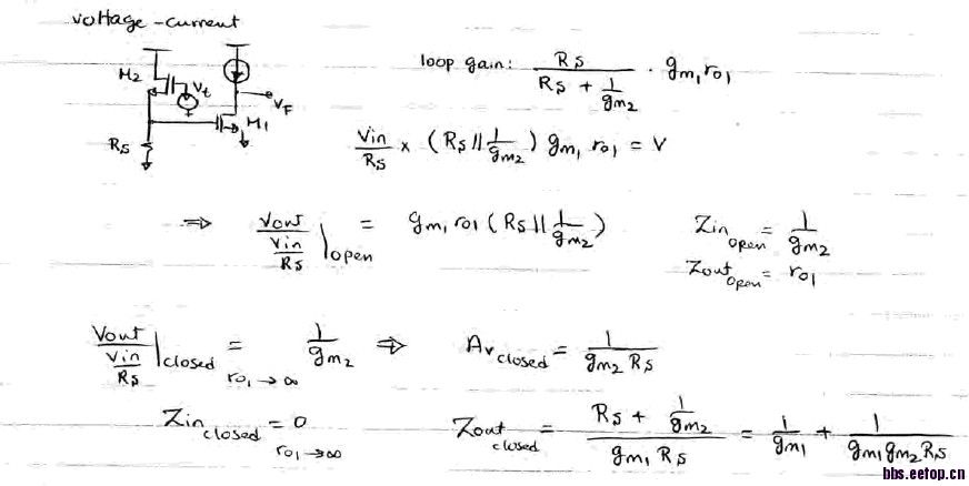
求解左图的输入阻抗。拉扎维的答案如下图,他是把Vin和Rs用诺顿等效代替来进行计算的,并把Rs看作放大器输入阻抗的一部分。我的疑问是Zin|open为什么是1/gm2而不是Rs||1/gm2呢?
Zin|open是反馈开环输入阻抗,Rs没有在反馈环中,涉及开环闭环阻抗不考虑Rs。
用诺顿等效的时候,Rs已经看成是M1的输入阻抗呢,这样电流源才是理想的电流源。既然Rs已经被看成M1的输入阻抗,因此在环路之内。所以我觉得Zin|open=Rs||1/gm2,而Zin|close应该为Rs||1/gm2/(1+环路增益)然后减去Rs的部分。下图是拉扎维对电压电流型反馈输入电阻的推导,我觉得Rs已经被看作Rin的一部分呢。
申明:网友回复良莠不齐,仅供参考。如需专业解答,请学习本站推出的微波射频专业培训课程。
上一篇:关于芯片电源防反接的设计如何实现?
下一篇:无锡sk海力士咋样啊

