关于DAC仿真INL 和DNL 问题,
录入:edatop.com 阅读:
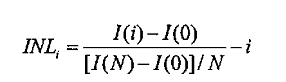
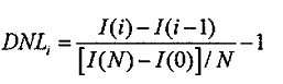
把这对波形进行相减,然后进行采点,将数据输入到 matlab 中,则可计算出DAC 的积分非线性误差(INL)和微分非线性误差(DNL)。
为什么差分输出要相减后再采点呢?

根据DNL和INL 的公式,一条输出线不是就可以求出INL和DNL 了吗?请高手指点
为什么差分输出要相减后再采点呢?

根据DNL和INL 的公式,一条输出线不是就可以求出INL和DNL 了吗?请高手指点
自己顶一下,急盼大侠知道讨论
你这是差分dac当然要差分了。
不知道我理解对没有
电流舵DAC输出不都是查分的形式吗,根据DNL和INL 的公式,一条输出线即可求出啊,请指点(详细)。
当你不能保证相邻码切换时,一根曲线的电压增加量等于另一根曲线的电压减小量时,就应该电压相减后再求,况且你的应用是差分应用的;
引起两根曲线加减量不同的因素可能包含,两边电阻负载不匹配以及非线性,还有电流DAC本身的输出电阻。
差分输出的DAC的DNL和INL要采差分相减的数据肯定是没错,那是因为你两条支路还会存在不匹配从而产生非线性,你如果只看单端输出就会忽略了这一点
LZ这个公式是来源哪篇PAPER?能否给我发一份啊,感激不尽。
申明:网友回复良莠不齐,仅供参考。如需专业解答,请学习本站推出的微波射频专业培训课程。
上一篇:打不开waveview
下一篇:比较器后面接个latch锁存器有什么作用?

