开关电容共模反馈问题?
录入:edatop.com 阅读:
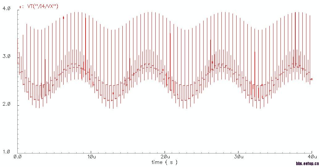
从波形上看,输出共模点VX好像跟随输出信号一起变化,这种情况说明有问题吧?应该是不允许的吧?

图1 共模反馈电路

图2 VX波形
我也是一有开关就遇到这样的问题 求指教啊
有问题,解决了吗
其实没问题,输出总得有信号吧,不可能一直不变,VX只提供共模电平,变化的是差模信号。
申明:网友回复良莠不齐,仅供参考。如需专业解答,请学习本站推出的微波射频专业培训课程。

