请教一个比较器的问题
录入:edatop.com 阅读:
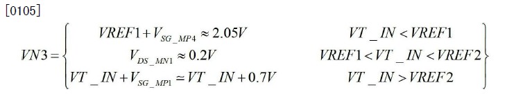
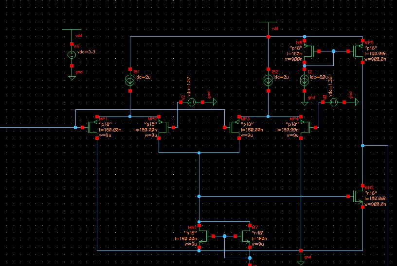
一个窗口比较器,目前仿真出来输出一直是低电平,目测放大器没有工作,按所示电路图设计,VN3节点(即所示仿真图的输出)电压应该满足如下,但是在输入进入窗口电压范围时,节点电压还是升高,所以比较器输出一直是低电平。

求大神指教,感激不尽!
申明:网友回复良莠不齐,仅供参考。如需专业解答,请学习本站推出的微波射频专业培训课程。
上一篇:Delta sigma量化噪声
下一篇:dft的实质

