拉扎维课后题5.5
录入:edatop.com 阅读:



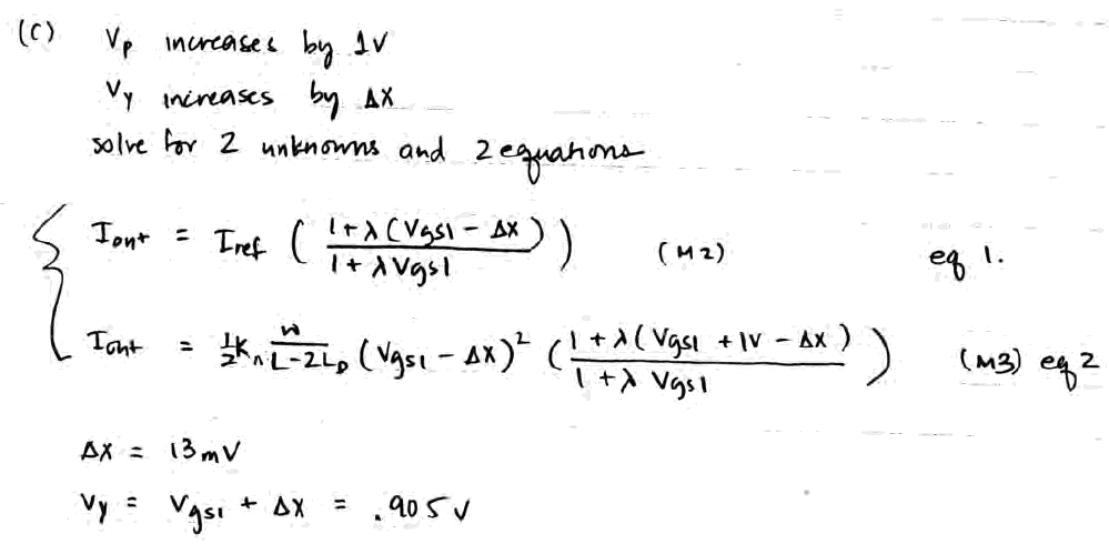
第三问的解答如上,列的两个方程第一个是关于M1和M2的电流关系的,分子括号里应该是加号吧?第二个是描述M3的电流,完全不知道是怎么得来的。求助大家,谢谢!
申明:网友回复良莠不齐,仅供参考。如需专业解答,请学习本站推出的微波射频专业培训课程。
上一篇:求助:ADE中跑完DC,显示不了circuit conditions
下一篇:ADE中调用HSPICE仿真总是产生不了Netlist,求解答

